Free Access

Fig. 2

image

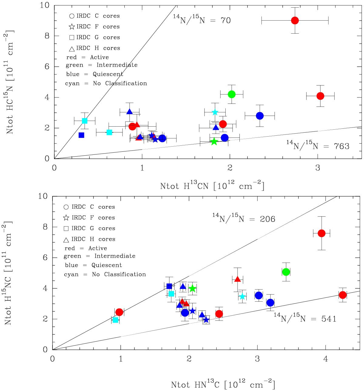
Column densities of HCN (top panel) and HNC (bottom panel) 15N isotopologues plotted against those of the 14N species for all the cores in the sample. The cores are classified as active (red), intermediate (green), and quiescent (blue). Black indicates cores with no known classification. Different symbols are used to denote different clouds: IRDC C (circle), IRDC F(star), IRDC G (square), and IRDC H (triangle). The straight lines indicate the lowest and highest value of the corresponding 14N/15N ratio for each molecule.

This figure is made of several images, please see below:

Current usage metrics show cumulative count of Article Views (full-text article views including HTML views, PDF and ePub downloads, according to the available data) and Abstracts Views on Vision4Press platform.

Data correspond to usage on the plateform after 2015. The current usage metrics is available 48-96 hours after online publication and is updated daily on week days.

Initial download of the metrics may take a while.