Free Access

Fig. A.2

image

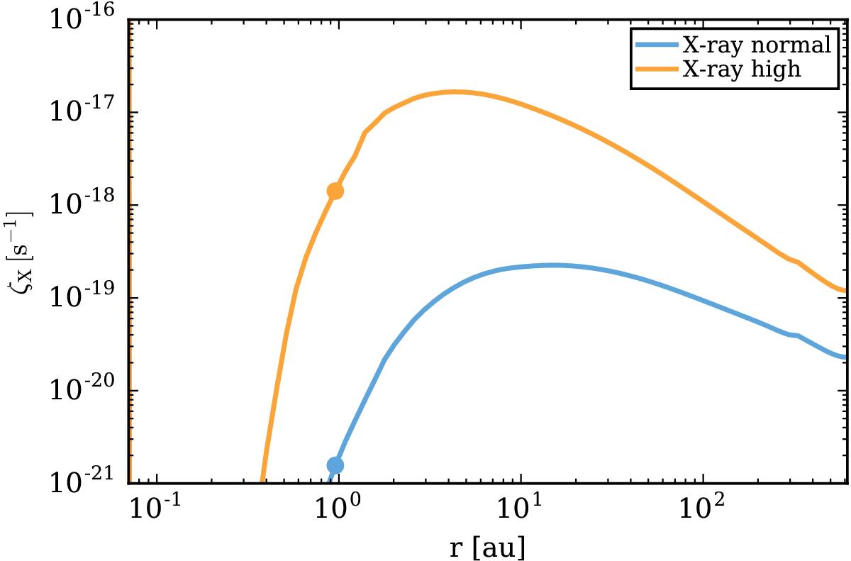
X-ray ionization rate ζX as a function of radius in the midplane of the disk (z = 0). Shown are the resulting ionization rates for the two different X-ray spectra (see Sect. 2.3.1). The dots mark the same location (r = 1 au, z = 0 au) in the disk as the dots in Fig. A.1.

Current usage metrics show cumulative count of Article Views (full-text article views including HTML views, PDF and ePub downloads, according to the available data) and Abstracts Views on Vision4Press platform.

Data correspond to usage on the plateform after 2015. The current usage metrics is available 48-96 hours after online publication and is updated daily on week days.

Initial download of the metrics may take a while.