Free Access

Fig. 4

image

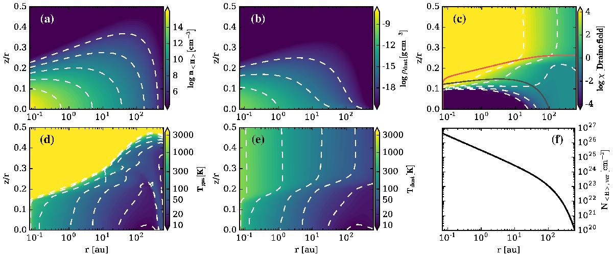
Two dimensional structure of the reference disk model CI_XN. The height of the disk z is scaled by the radius (z/r). From top left to the bottom right: a) gas number density n⟨ H ⟩; b) dust density ρdust (note the dust settling); c) FUV radiation field χ in units of the ISM Draine field; d) gas temperature Tgas; e) dust temperature Tdust and f) the vertical hydrogen column density N⟨ H ⟩ ,ver versus radius. The white dashed contour lines in each contour plot correspond to the levels shown in the respective colorbar. The black (red) solid contour in panel c) indicate a vertical (radial) visual extinction equal to unity.

Current usage metrics show cumulative count of Article Views (full-text article views including HTML views, PDF and ePub downloads, according to the available data) and Abstracts Views on Vision4Press platform.

Data correspond to usage on the plateform after 2015. The current usage metrics is available 48-96 hours after online publication and is updated daily on week days.

Initial download of the metrics may take a while.