Free Access

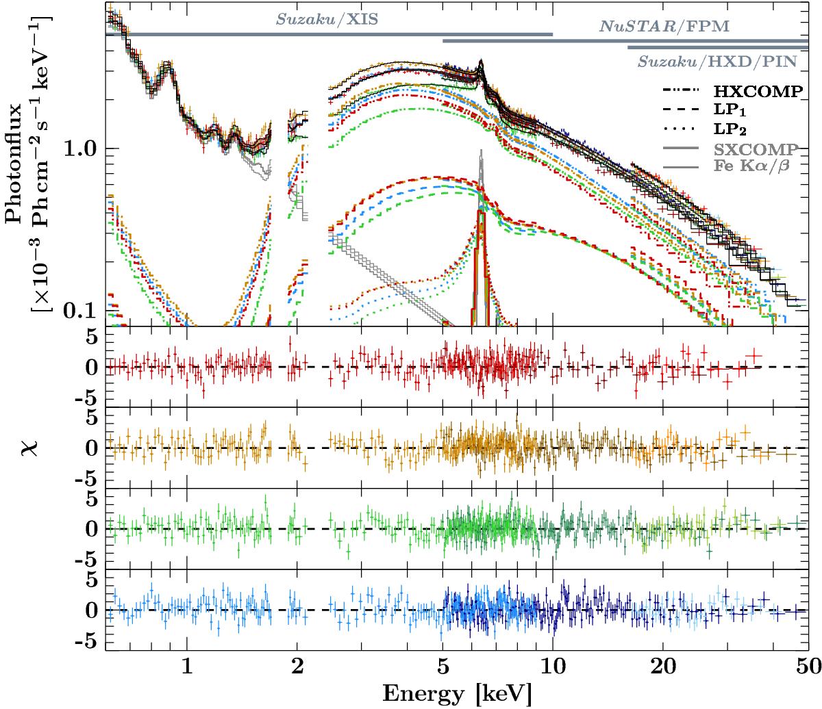
Fig. 11

image

Time-resolved spectra of Suz 3A–Suz 3D/NuSuz,A–NuSuz,D with the best-fit model components HXCOMP (double-dotted dashed line), LP1 (dashed line), LP2 (dotted line) and SXCOMP (solid line). The spectra A–D are drawn in red, orange, green and blue, respectively.

Current usage metrics show cumulative count of Article Views (full-text article views including HTML views, PDF and ePub downloads, according to the available data) and Abstracts Views on Vision4Press platform.

Data correspond to usage on the plateform after 2015. The current usage metrics is available 48-96 hours after online publication and is updated daily on week days.

Initial download of the metrics may take a while.