Free Access

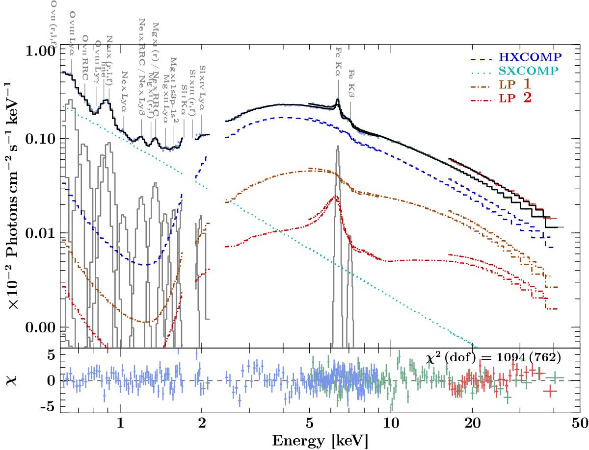
Fig. 7

image

Model components together with the data and residuals of the 150 ks long observation Suz 3. The incident HXCOMP continuum (dashed blue line) and both lamp-post models (LP1: dotted-dashed brown line, LP2: double-dotted-dashed red line) are shown as absorbed components, the SXCOMP (dotted cyan line) as unabsorbed component. The soft emission lines (gray) required for the best-fit are labeled with their line identifiers and listed in Table 2. The residuals of Suzaku/XIS, Suzaku/HXD, and NuSTAR/FPM, are drawn in blue, red, and green, respectively.

Current usage metrics show cumulative count of Article Views (full-text article views including HTML views, PDF and ePub downloads, according to the available data) and Abstracts Views on Vision4Press platform.

Data correspond to usage on the plateform after 2015. The current usage metrics is available 48-96 hours after online publication and is updated daily on week days.

Initial download of the metrics may take a while.