Free Access

Fig. 2

image

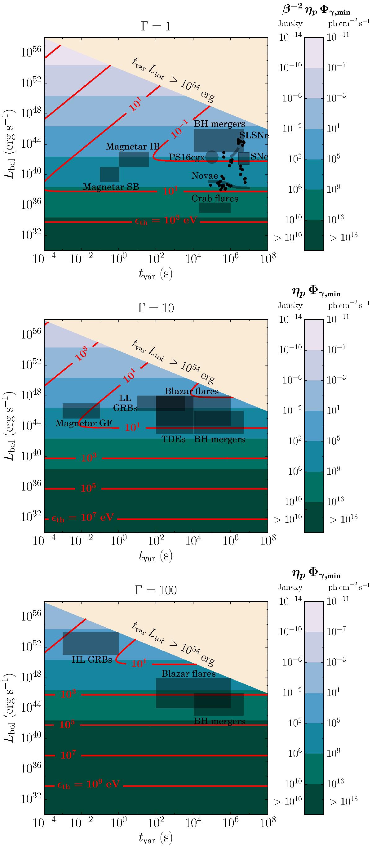
What is the minimum source photon flux required to enable neutrino detection with IceCube? The color map shows the minimum photon flux Φγ,min (in Jy and ph cm-2 s-1) as a function of the bolometric luminosity Lbol and the variability timescale tvar of the flaring event for an outflow bulk Lorentz factor Γ = 1,10,100. A neutrino flare can be detectable if the observed photon flux Φγ,obs ≳ Φγ,min, above the minimum threshold energy ϵth (red lines) for soft photon spectra, and at the observed photon break energy ϵb for hard spectra. Here ηB = ηp = 1, but the most conservative estimate should use ηp = 100. Overlaid objets as in Fig 1. Type Ibc supernovae should be treated with care (see Sect. 6.2).

This figure is made of several images, please see below:

Current usage metrics show cumulative count of Article Views (full-text article views including HTML views, PDF and ePub downloads, according to the available data) and Abstracts Views on Vision4Press platform.

Data correspond to usage on the plateform after 2015. The current usage metrics is available 48-96 hours after online publication and is updated daily on week days.

Initial download of the metrics may take a while.