Free Access

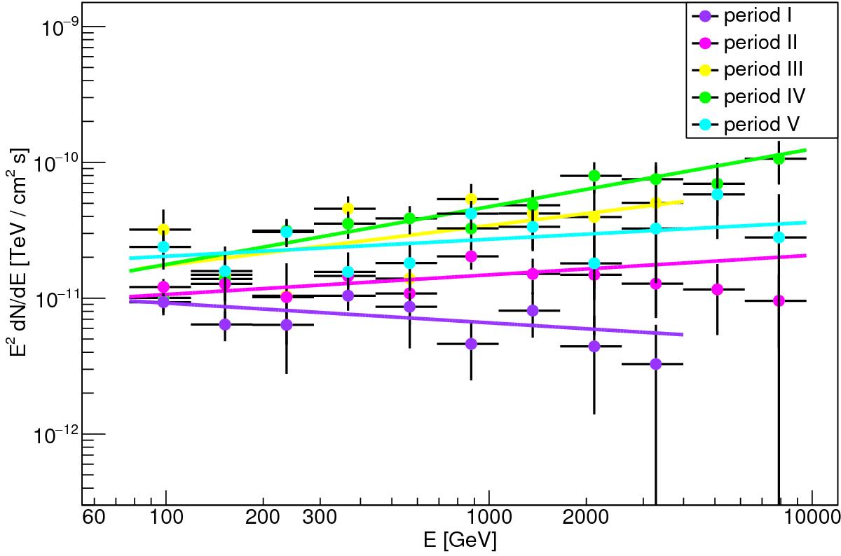
Fig. 3

image

Measured spectral energy distributions from different time periods during the night of the flare 2012 November 12–13 obtained by MAGIC. The time periods are given in Table 1 and indicated with lines in Fig. 2. The same color scheme as in Fig. 2 is used.

Current usage metrics show cumulative count of Article Views (full-text article views including HTML views, PDF and ePub downloads, according to the available data) and Abstracts Views on Vision4Press platform.

Data correspond to usage on the plateform after 2015. The current usage metrics is available 48-96 hours after online publication and is updated daily on week days.

Initial download of the metrics may take a while.