Free Access

Fig. 4

image

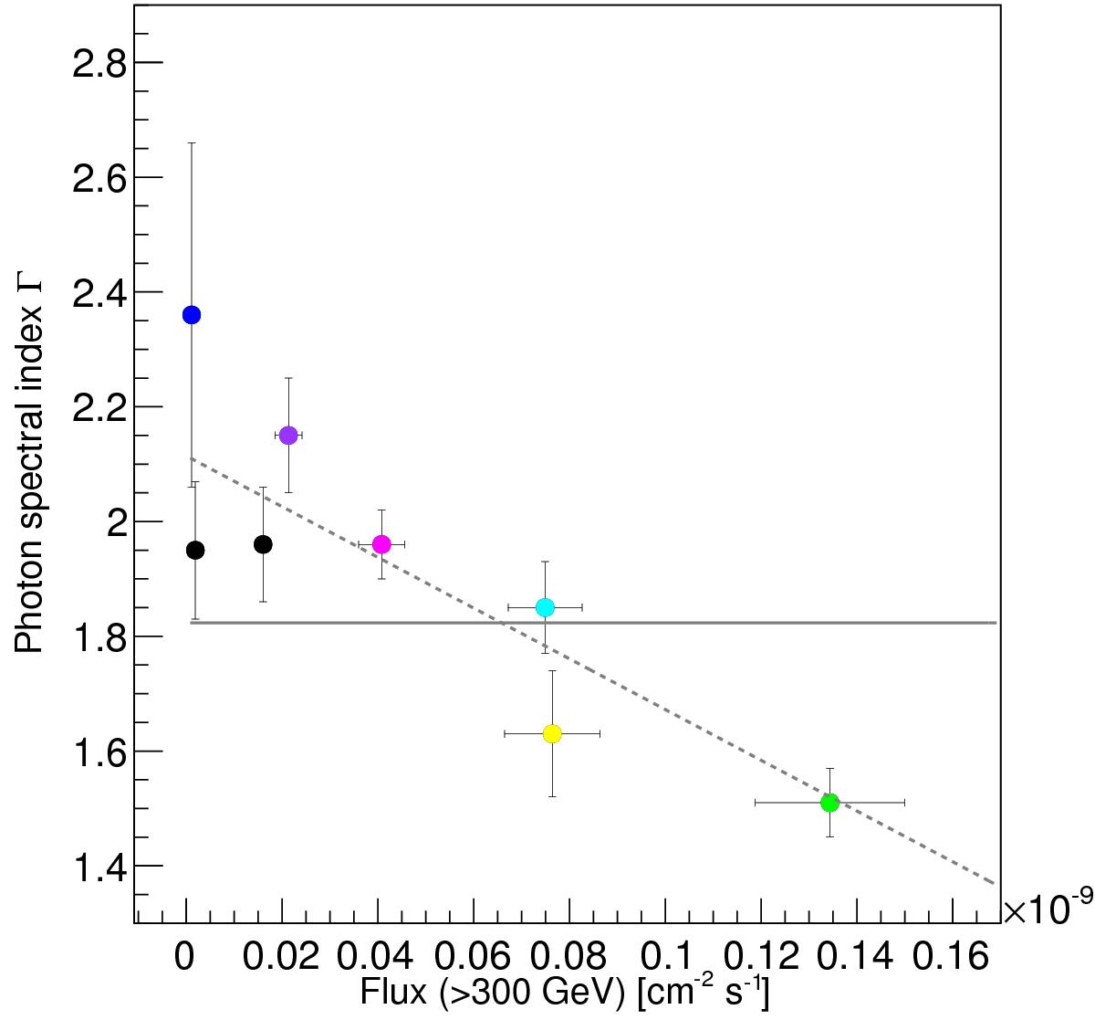
Power-law index of VHE spectra as a function of the VHE flux above 300 GeV measured by MAGIC. The photon index values, which are not corrected for EBL absorption, are listed in Table 2. The color scheme is the same as the one used in Fig. 2 and in Fig. 3. In addition, the result for the multi-wavelength campaign is shown in blue, and the historical measurements from Aleksić et al. (2014a) are shown in black. The solid and dashed lines represent a constant and a linear fit, respectively.

Current usage metrics show cumulative count of Article Views (full-text article views including HTML views, PDF and ePub downloads, according to the available data) and Abstracts Views on Vision4Press platform.

Data correspond to usage on the plateform after 2015. The current usage metrics is available 48-96 hours after online publication and is updated daily on week days.

Initial download of the metrics may take a while.