Free Access

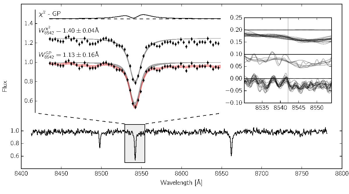
Fig. 4

image

Bottom part: one extremely metal-poor star spectra of RAVE. The metallicity of this star was estimated by our study to be [Fe/H] = −3.04 ± 0.22 dex and the measured S/N per pixel is ~ 52. The gray box marks the region around the central Ca ii line for which the two solutions and their difference are plotted above. The gray shaded areas give ± 1σ Voigt profile solutions for the regular χ2 approach (top) and the noise-modeled approach (bottom) with measured equivalent widths of the lines given next to each solution. In the latter case there is also a full model ± 1σ region shown in red (see text for details). The inset shows 20 draws from each of the three Gaussian process kernel posteriors using Eq. (9). The second and third group are vertically shifted by 0.1 and 0.2 for clarity.

Current usage metrics show cumulative count of Article Views (full-text article views including HTML views, PDF and ePub downloads, according to the available data) and Abstracts Views on Vision4Press platform.

Data correspond to usage on the plateform after 2015. The current usage metrics is available 48-96 hours after online publication and is updated daily on week days.

Initial download of the metrics may take a while.