Free Access

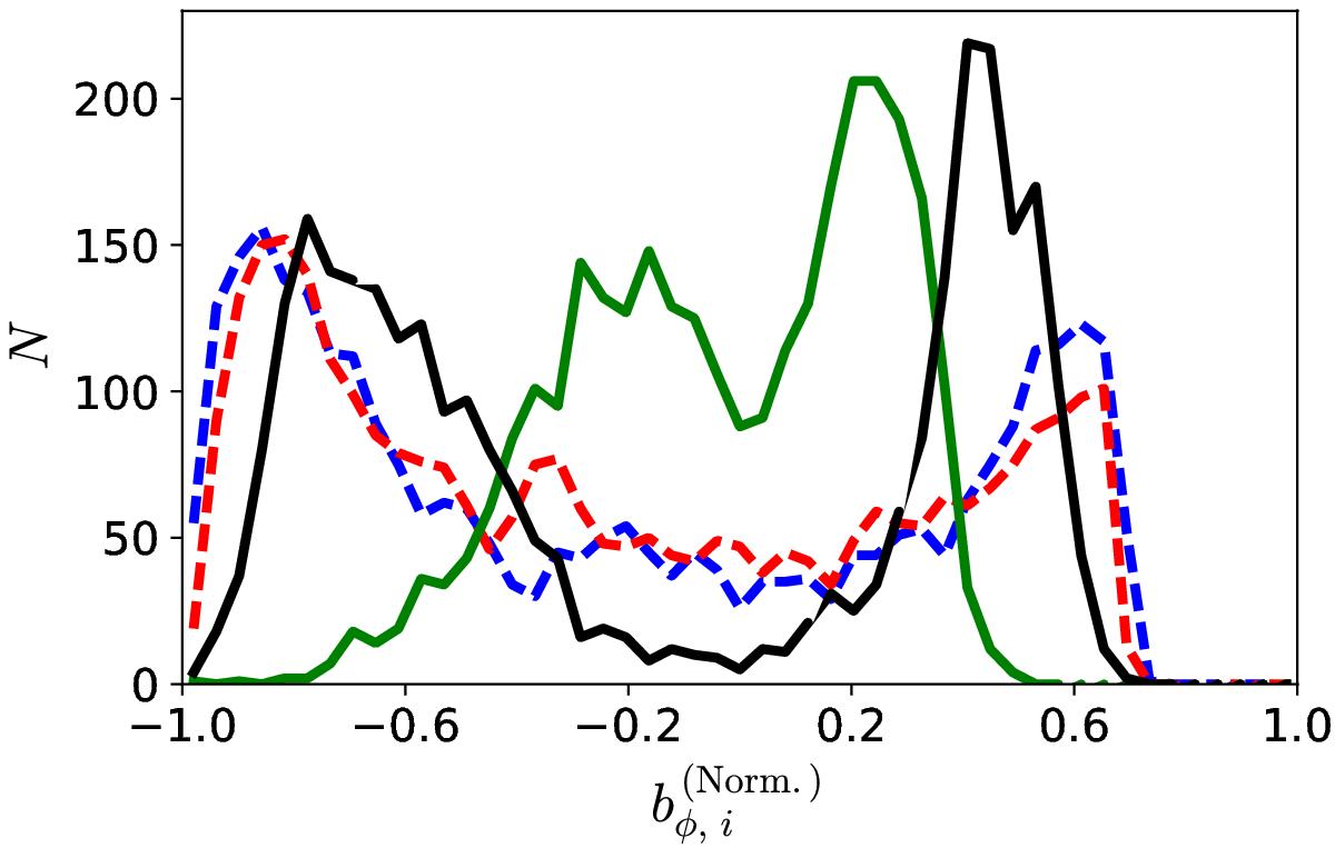
Fig. 2

image

Number of emergences (N) as a function of the normalized underlying azimuthal flux density (). The different curves correspond to different choices of the free parameters. Continuous black line: u0 = 3 m s-1 and η0 = 100 km2 s-1. Dashed blue line: u0 = 5 m s-1 and η0 = 400 km2 s-1. Dashed red line: u0 = 1 m s-1 and η0 = 25 km2 s-1. Continuous green line: u0 = 6 m s-1 and η0 = 600 km2 s-1.

Current usage metrics show cumulative count of Article Views (full-text article views including HTML views, PDF and ePub downloads, according to the available data) and Abstracts Views on Vision4Press platform.

Data correspond to usage on the plateform after 2015. The current usage metrics is available 48-96 hours after online publication and is updated daily on week days.

Initial download of the metrics may take a while.