Free Access

Fig. 6

image

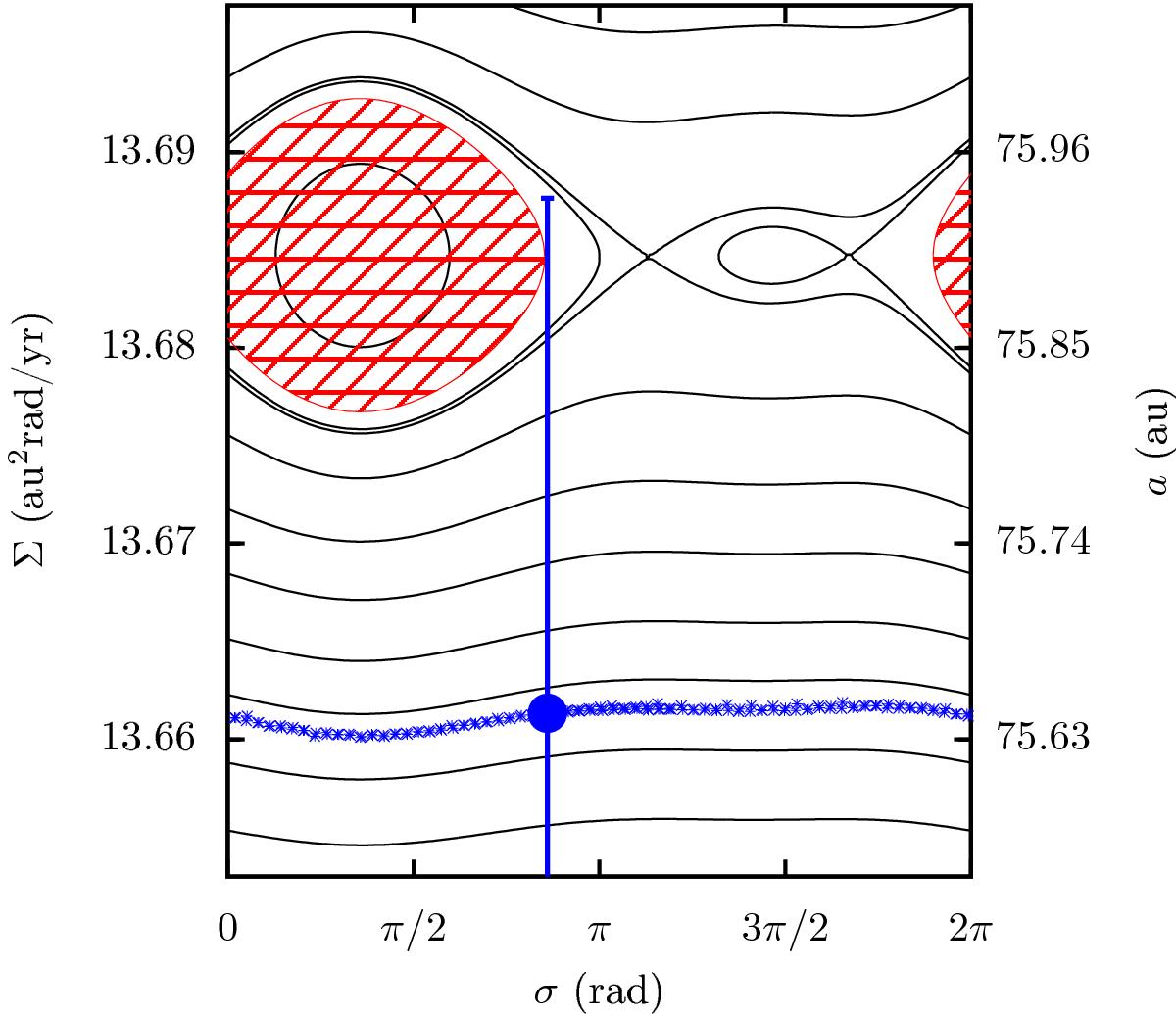
Semi-secular phase portrait of 2014 FZ71. On the right axis, the values of a corresponding to Σ are shown. The blue crosses come from the filtered output of the full non-averaged numerical integration (same as Fig. 1), with the current position of 2014 FZ71 on the big spot. For comparison, the 1-sigma error bar of the (osculating) orbital solution is added. The uncertainty is compatible with the red hatched area inside the resonance, from which we get a possible value of the parameter J. The same method was used in Saillenfest et al. (2017), but it was not restricted to the uncertainty ranges.

Current usage metrics show cumulative count of Article Views (full-text article views including HTML views, PDF and ePub downloads, according to the available data) and Abstracts Views on Vision4Press platform.

Data correspond to usage on the plateform after 2015. The current usage metrics is available 48-96 hours after online publication and is updated daily on week days.

Initial download of the metrics may take a while.