Free Access

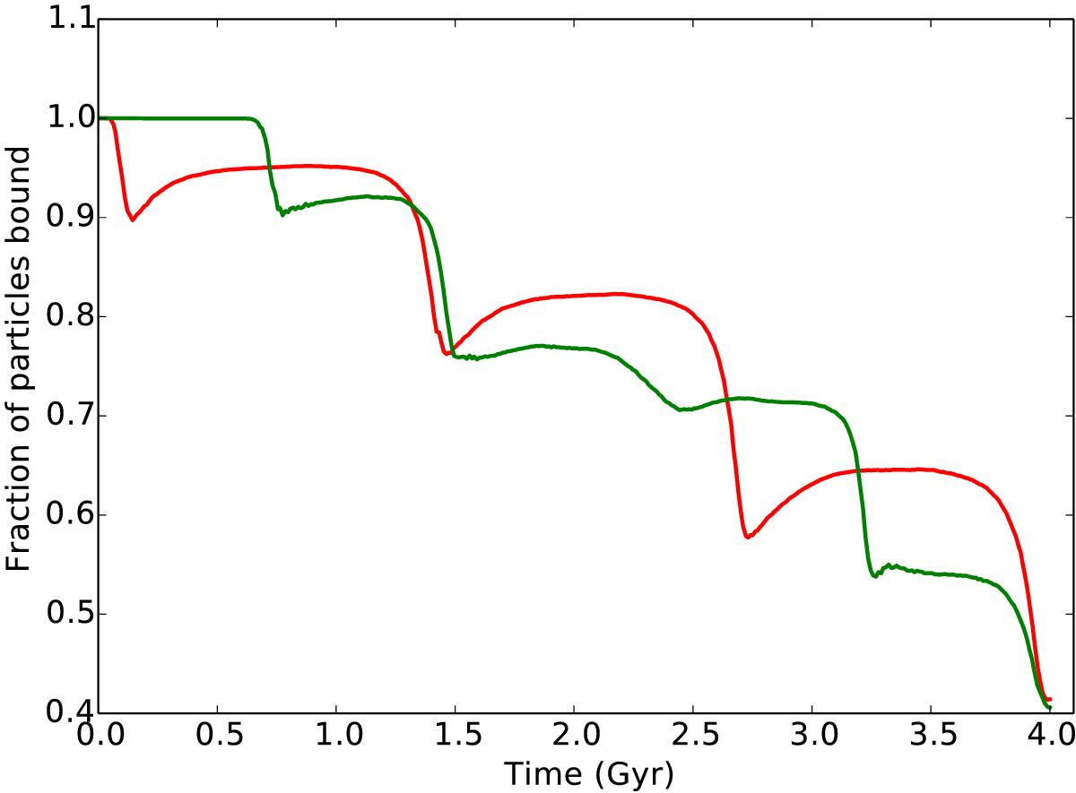
Fig. 10

image

Temporal evolution of the fraction of N-body particles that stay bound to the progenitor (M1 = red, M2 = green). We checked that the formula of Varghese et al. (2011) for the Jacobi radius was a good approximation in MOND too, and used it to determine if particles are bound. We note how the progenitor in the M1 case significantly increases its mass between t = 2.7 Gyr and t = 3 Gyr, through the increase of the Roche radius, allowing it to recover the stars that stay close to it. We also highlight how the large pericenter of the M2 orbit at t ≈ 2.4 Gyr limits the mass loss in simulation M2. It is interesting how these effects conspire to give a very realistic remnant in both simulations, as shown in Fig. 5.

Current usage metrics show cumulative count of Article Views (full-text article views including HTML views, PDF and ePub downloads, according to the available data) and Abstracts Views on Vision4Press platform.

Data correspond to usage on the plateform after 2015. The current usage metrics is available 48-96 hours after online publication and is updated daily on week days.

Initial download of the metrics may take a while.