Free Access

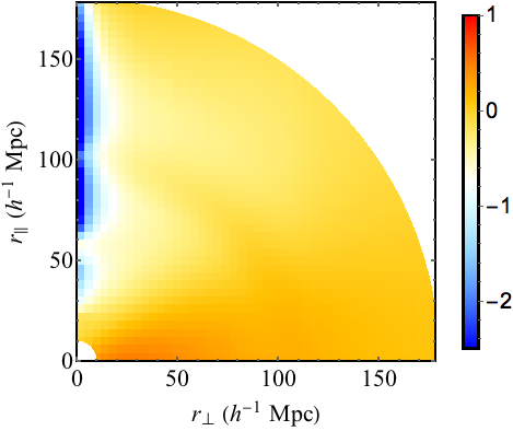
Fig. 10

image

Two-dimensional representation of r2ξ(r,r) in units of (h-1 Mpc)2. The right panel shows the measurement and the left panel the best-fit model, ξph, modified by the distortion matrix via Eq. (18). The BAO feature is at r ~ 100 h-1 Mpc. The effects of metal-Lyα correlations are seen in the lowest r bin, in particular the peak at 50 <r< 70 h-1 Mpc due to SiIIa and SiIIb.

This figure is made of several images, please see below:

Current usage metrics show cumulative count of Article Views (full-text article views including HTML views, PDF and ePub downloads, according to the available data) and Abstracts Views on Vision4Press platform.

Data correspond to usage on the plateform after 2015. The current usage metrics is available 48-96 hours after online publication and is updated daily on week days.

Initial download of the metrics may take a while.