Free Access

Fig. 9

image

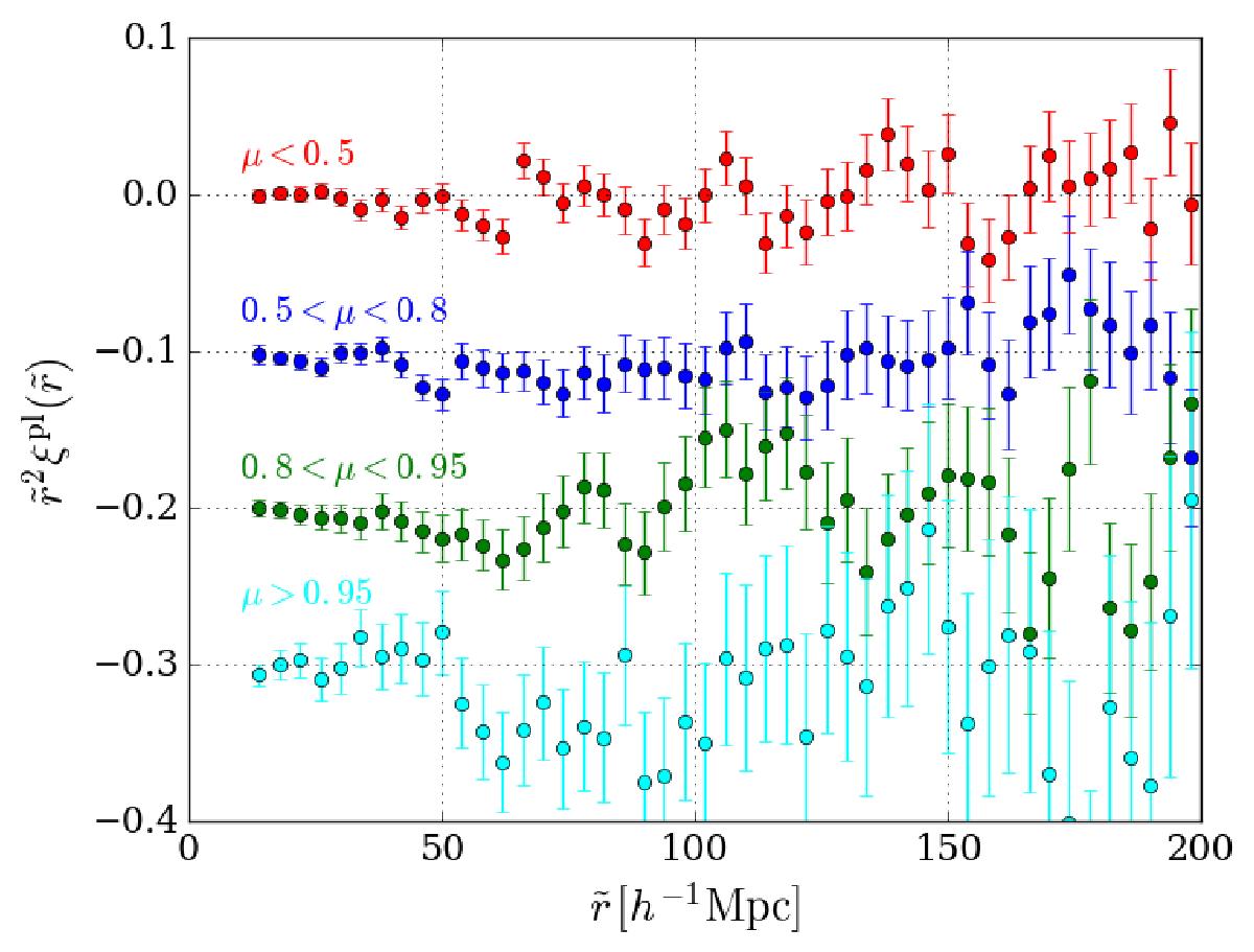
Null test for pipeline-induced correlations. As in Fig. 8, the correlation between the Lyα-forest pixels and the CIV-forest pixels, is shown, but now for four angular ranges as labeled and offset by 0.1 successively for clarity. Pixel pairs with are excluded. There is no evidence for pipeline-induced systematics with the χ2 for vanishing correlation for is (32.5, 31.2, 22.7, 40.0) for the four ranges, each with 38 data points.

Current usage metrics show cumulative count of Article Views (full-text article views including HTML views, PDF and ePub downloads, according to the available data) and Abstracts Views on Vision4Press platform.

Data correspond to usage on the plateform after 2015. The current usage metrics is available 48-96 hours after online publication and is updated daily on week days.

Initial download of the metrics may take a while.