Free Access

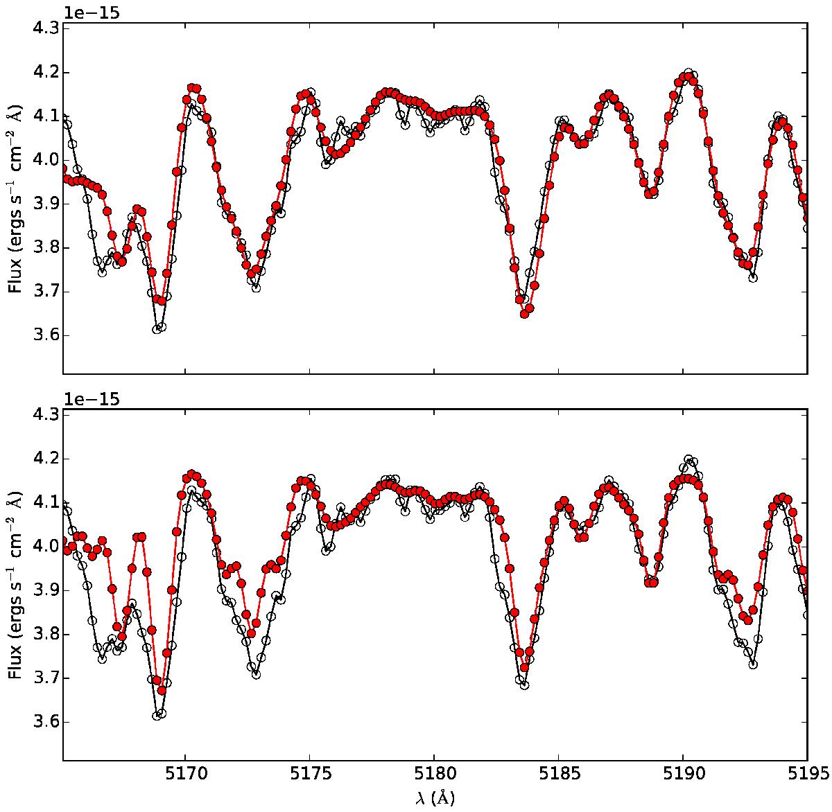
Fig. 7

image

Top: best model spectra for YMCs NGC 1705-1 using an isochrone of log (t) = 7.75 and Z = 0.008. Bottom: best model spectra for the same YMCs as above using an isochrone of log (t) = 7.75 and Z = 0.004. The black curve represents the X-shooter science observations and red points show the best model spectra.

Current usage metrics show cumulative count of Article Views (full-text article views including HTML views, PDF and ePub downloads, according to the available data) and Abstracts Views on Vision4Press platform.

Data correspond to usage on the plateform after 2015. The current usage metrics is available 48-96 hours after online publication and is updated daily on week days.

Initial download of the metrics may take a while.