Free Access

Fig. 2

image

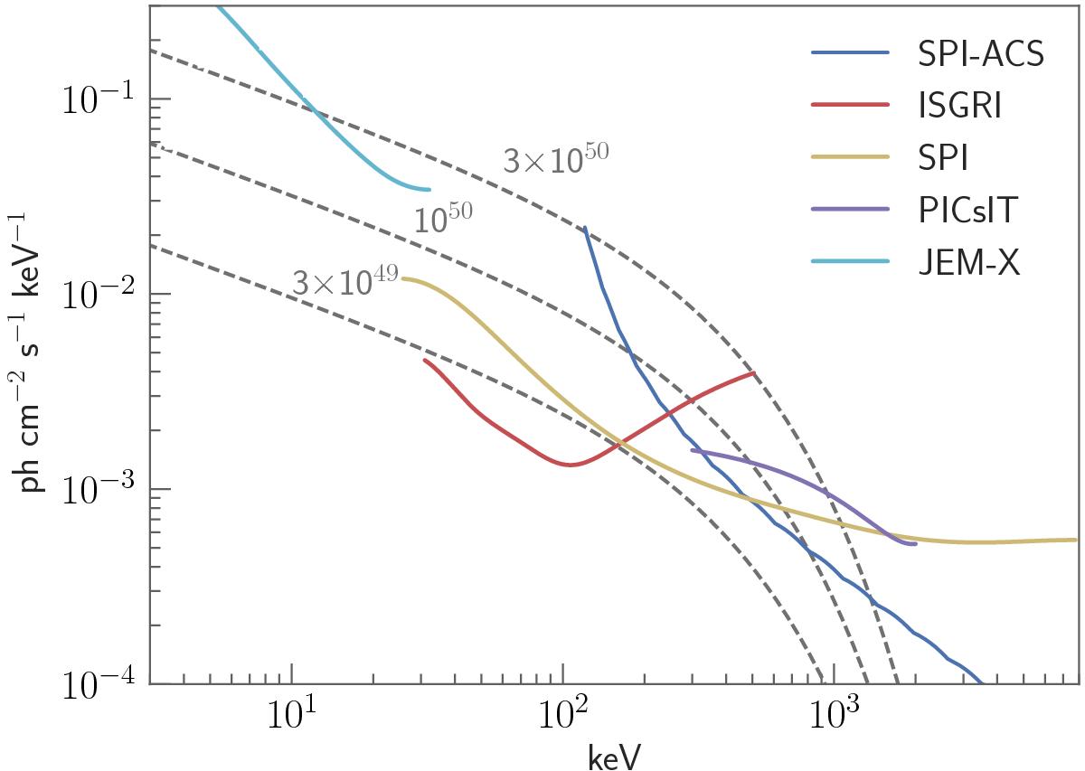
Broadband continuum sensitivity (ΔE = E/ 2) of the different instruments on board INTEGRAL as a function of energy for an on-axis detection of a 1 s impulsive event at 3σ confidence level during the time interval spanning from T0−30 s to T0 + 30 s. Dashed curves correspond to the case of an event at 1 Gpc featuring a spectral energy distribution typical of a hard GRB (Comptonized model with parameters α = −0.5, Epeak = 600 keV) and releasing a total of 3 × 1049 erg, 1050 erg, and 3 × 1050 erg in the 75–2000 keV energy band.

Current usage metrics show cumulative count of Article Views (full-text article views including HTML views, PDF and ePub downloads, according to the available data) and Abstracts Views on Vision4Press platform.

Data correspond to usage on the plateform after 2015. The current usage metrics is available 48-96 hours after online publication and is updated daily on week days.

Initial download of the metrics may take a while.