Free Access

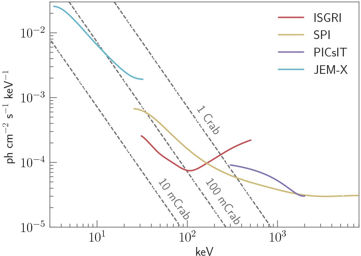
Fig. 3

image

Broadband continuum sensitivity (ΔE = E/ 2) of the different instruments on board INTEGRAL as a function of energy for a detection of an on-axis source at 3σ confidence level during the time interval spanning from a minimum of T0−30 s to a maximum of T0 + 287 s (depending on instrument). The dashed lines correspond to the case in which the source to be detected is characterized by a power-law shaped spectrum with a photon index of − 2 and an X-ray flux below 100 keV equal to 1 Crab, 100 mCrab, and 10 mCrab.

Current usage metrics show cumulative count of Article Views (full-text article views including HTML views, PDF and ePub downloads, according to the available data) and Abstracts Views on Vision4Press platform.

Data correspond to usage on the plateform after 2015. The current usage metrics is available 48-96 hours after online publication and is updated daily on week days.

Initial download of the metrics may take a while.