Open Access

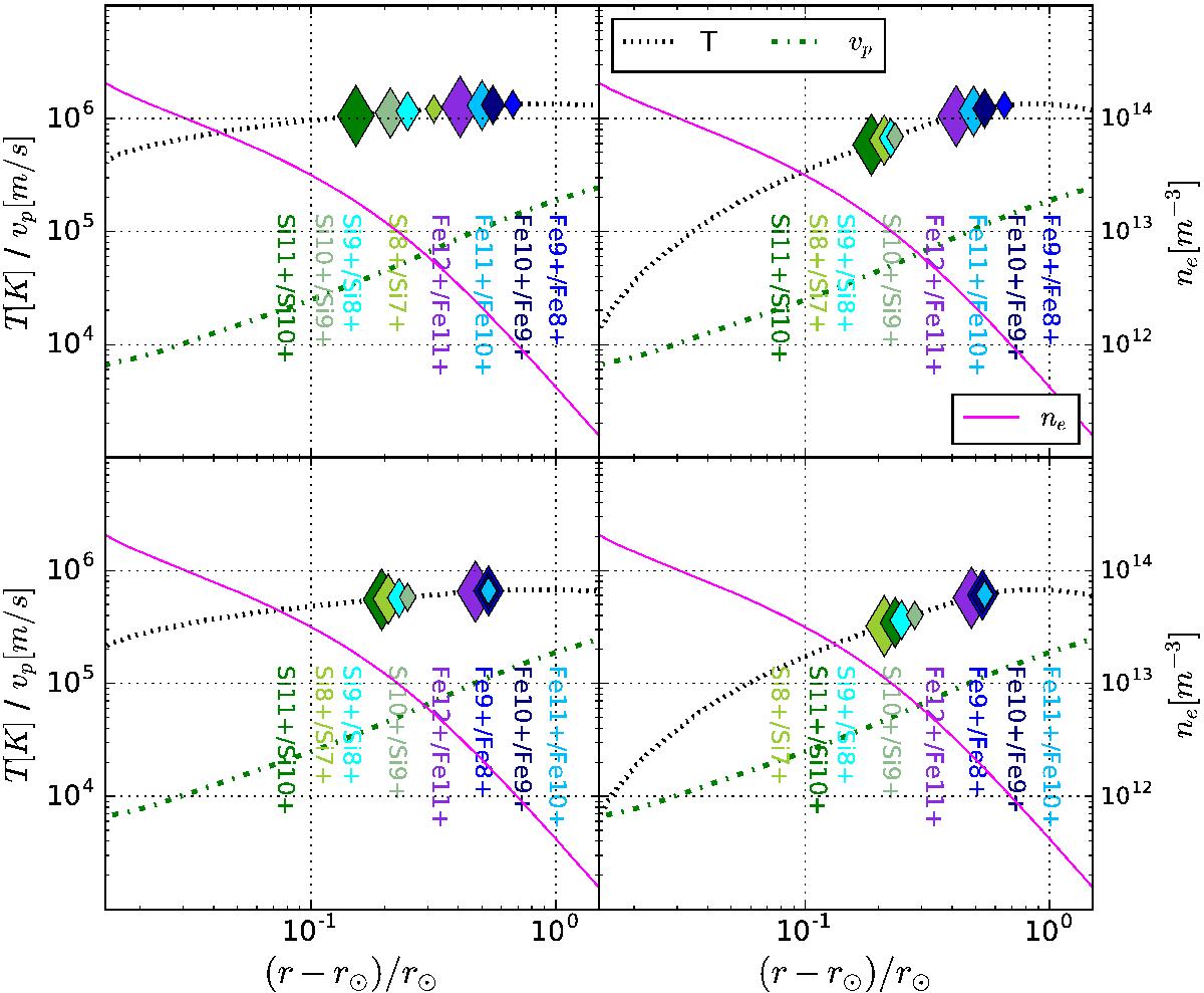
Fig. 9

image

Freeze-in temperatures based on the Cranmer et al. (2007) model. Each panel shows the top the temperature, electron density and bulk solar wind flow speed over the radius. Four different temperature profiles are considered: unmodified (top left), steeper increasing and declining slopes (top right), lower maximum temperature (bottom left), lower maximum temperature and steeper slopes (bottom right). The freeze-in points were derived based on ionization and recombination rates for κ-distributed electron velocity functions with κ = 10.

Current usage metrics show cumulative count of Article Views (full-text article views including HTML views, PDF and ePub downloads, according to the available data) and Abstracts Views on Vision4Press platform.

Data correspond to usage on the plateform after 2015. The current usage metrics is available 48-96 hours after online publication and is updated daily on week days.

Initial download of the metrics may take a while.