Free Access

Fig. C.4

image

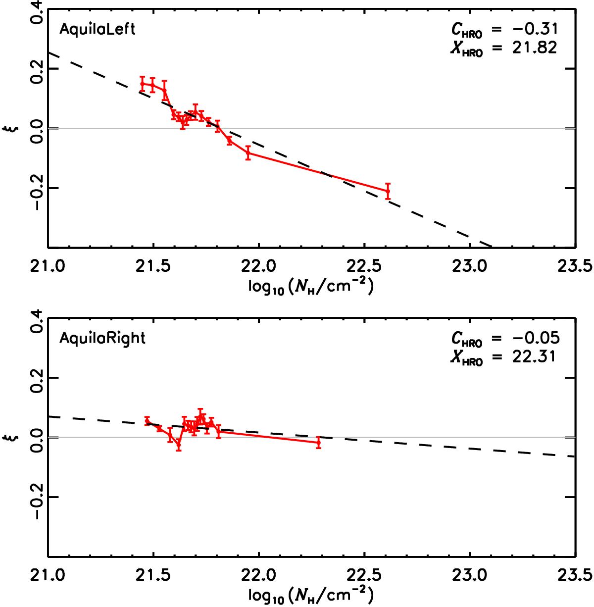
Relative orientation parameter ξ, defined in Eq. (3), calculated for the different NH bins towards the two portions of the Aquila rift illustrated in Fig. C.1. The values ξ> 0 and ξ< 0 correspond to the magnetic field oriented mostly parallel and perpendicular to the iso-NH contours, respectively. The black dashed line and the values of CHRO and XHRO correspond to the linear fit introduced in Eq. (5). The grey line is ξ = 0, which corresponds to the case where there is no preferred relative orientation.

This figure is made of several images, please see below:

Current usage metrics show cumulative count of Article Views (full-text article views including HTML views, PDF and ePub downloads, according to the available data) and Abstracts Views on Vision4Press platform.

Data correspond to usage on the plateform after 2015. The current usage metrics is available 48-96 hours after online publication and is updated daily on week days.

Initial download of the metrics may take a while.