Free Access

Fig. 12

image

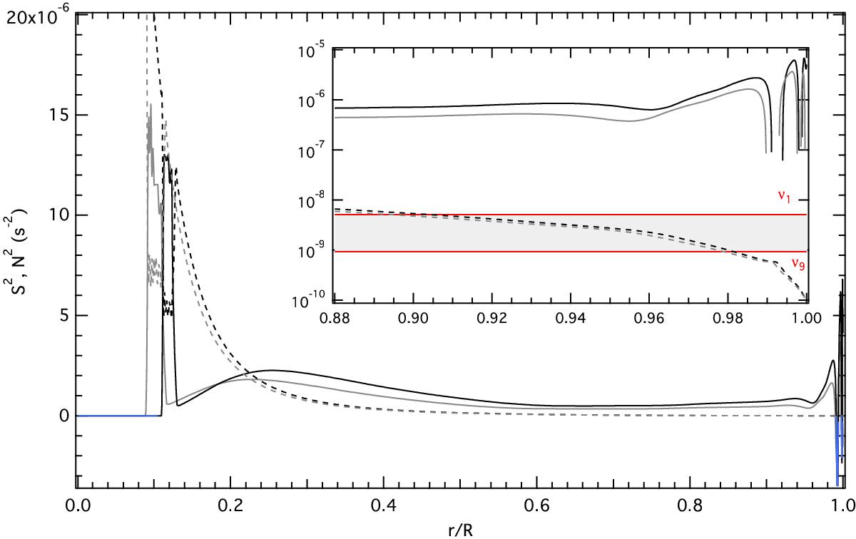
Squared Brunt-Väisälä N2 (solid lines) and Lamb S2 (dashed lines) frequency as a function of the fractional radius for model M1 (black lines) and M2 (grey lines). The blue lines indicate regions where N2 is negative, and are therefore convective. The inset shows the outermost region and the frequency range of the observations (grey-shaded area between the red lines).

Current usage metrics show cumulative count of Article Views (full-text article views including HTML views, PDF and ePub downloads, according to the available data) and Abstracts Views on Vision4Press platform.

Data correspond to usage on the plateform after 2015. The current usage metrics is available 48-96 hours after online publication and is updated daily on week days.

Initial download of the metrics may take a while.