Free Access

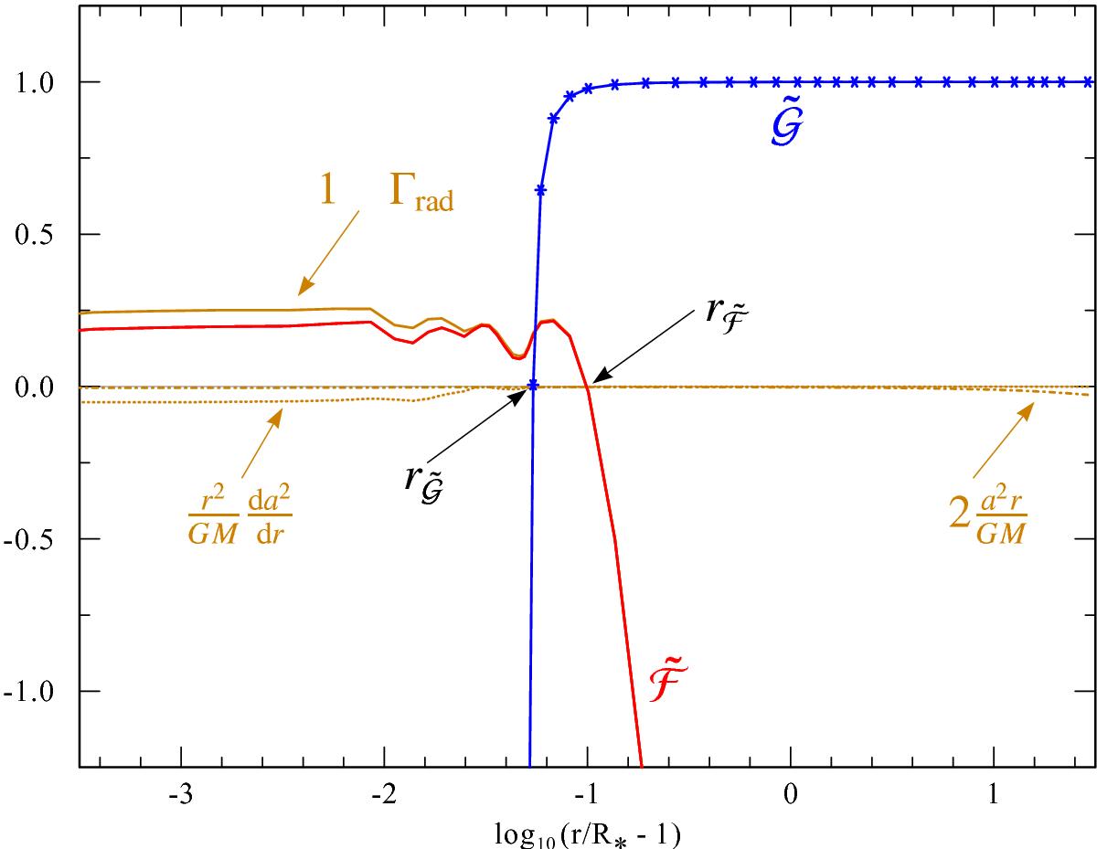
Fig. 3

image

As in Fig. 1, but now for a standard PoWR model where only the quasi-hydrostatic regime is treated self-consistently. The dimensionless, depth-dependent quantities and now cross zero at different radii and , which is typical for non-consistent models and indicates a necessary adjustment of the mass-loss rate.

Current usage metrics show cumulative count of Article Views (full-text article views including HTML views, PDF and ePub downloads, according to the available data) and Abstracts Views on Vision4Press platform.

Data correspond to usage on the plateform after 2015. The current usage metrics is available 48-96 hours after online publication and is updated daily on week days.

Initial download of the metrics may take a while.