Free Access

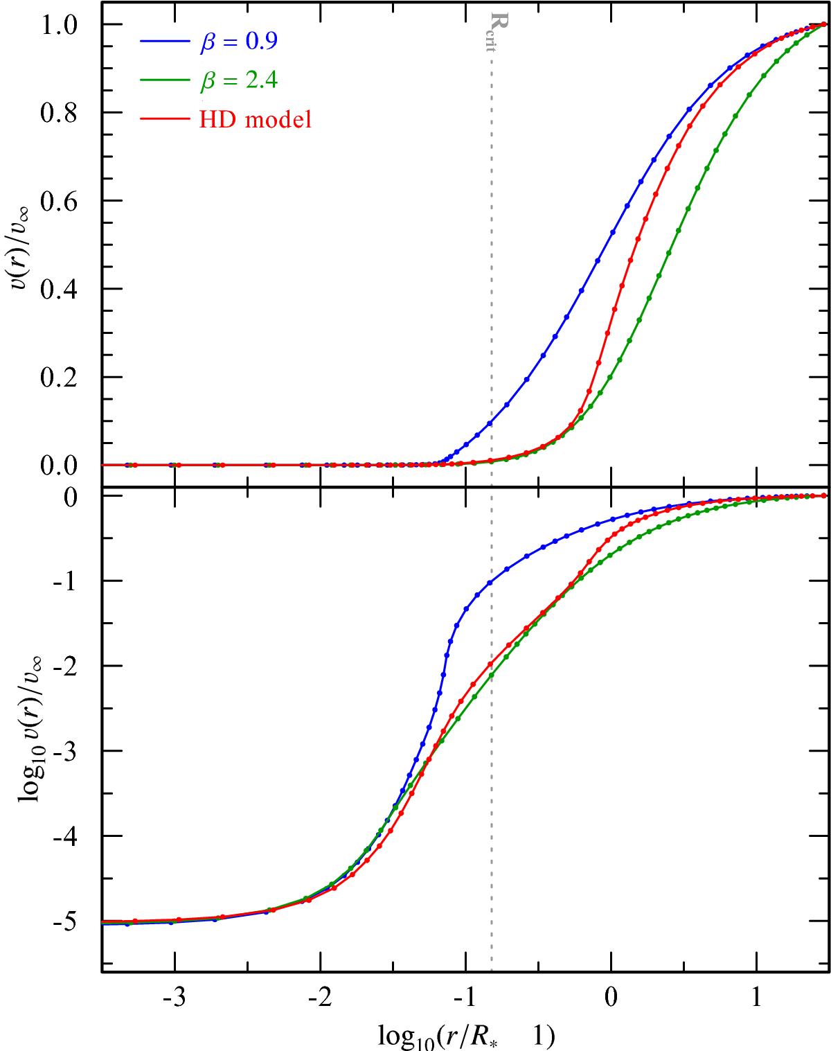
Fig. 7

image

Normalized velocity field for the hydrodynamically-consistent model (red) versus a model using a β-law connected to a consistent quasi-hydrostatic part. The upper panel shows the velocity in non-logarithmic units, thereby highlighting the wind part, while the lower panel displays the normalized velocity in logarithmic units, thus focusing on the inner layers.

Current usage metrics show cumulative count of Article Views (full-text article views including HTML views, PDF and ePub downloads, according to the available data) and Abstracts Views on Vision4Press platform.

Data correspond to usage on the plateform after 2015. The current usage metrics is available 48-96 hours after online publication and is updated daily on week days.

Initial download of the metrics may take a while.