Free Access

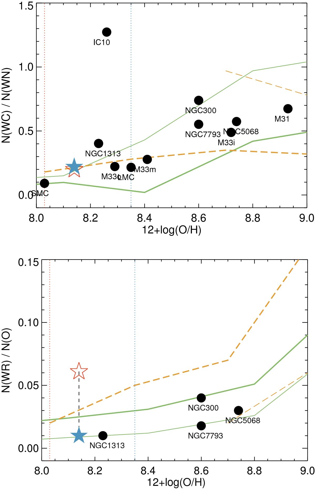
Fig. 6

image

Relative number of WC to WN stars (top) and WR to O stars (bottom) for NGC 625. Predictions when using the templates for the LMC (subset A) are indicated with a filled blue star while whose using the SMC templates (subset D) are indicated with an empty red star. Two vertical lines of these same colours indicate the metallicity of the templates. We included for comparison the prediction of the models by Eldridge et al. (2008) for binary and single stars (thick and thin green lines, respectively) as well as models by Meynet & Maeder (2005) for stars with rotation (v = 300 km s-1) and without rotation (thick and thin orange lines, respectively). Likewise W-R star content for other very nearby galaxies has been added for reference: NGC 7793, Bibby & Crowther (2010); NGC  5068, Bibby & Crowther (2012); M 31, Neugent et al. (2012); M 33, Neugent & Massey (2011); NGC 1313, Hadfield & Crowther (2007); LMC, Massey et al. (2015); SMC Massey et al. (2014); IC 10, Crowther et al. (2003); and NGC 300, Crowther et al. (2007).

Current usage metrics show cumulative count of Article Views (full-text article views including HTML views, PDF and ePub downloads, according to the available data) and Abstracts Views on Vision4Press platform.

Data correspond to usage on the plateform after 2015. The current usage metrics is available 48-96 hours after online publication and is updated daily on week days.

Initial download of the metrics may take a while.