Free Access

Fig. 1

image

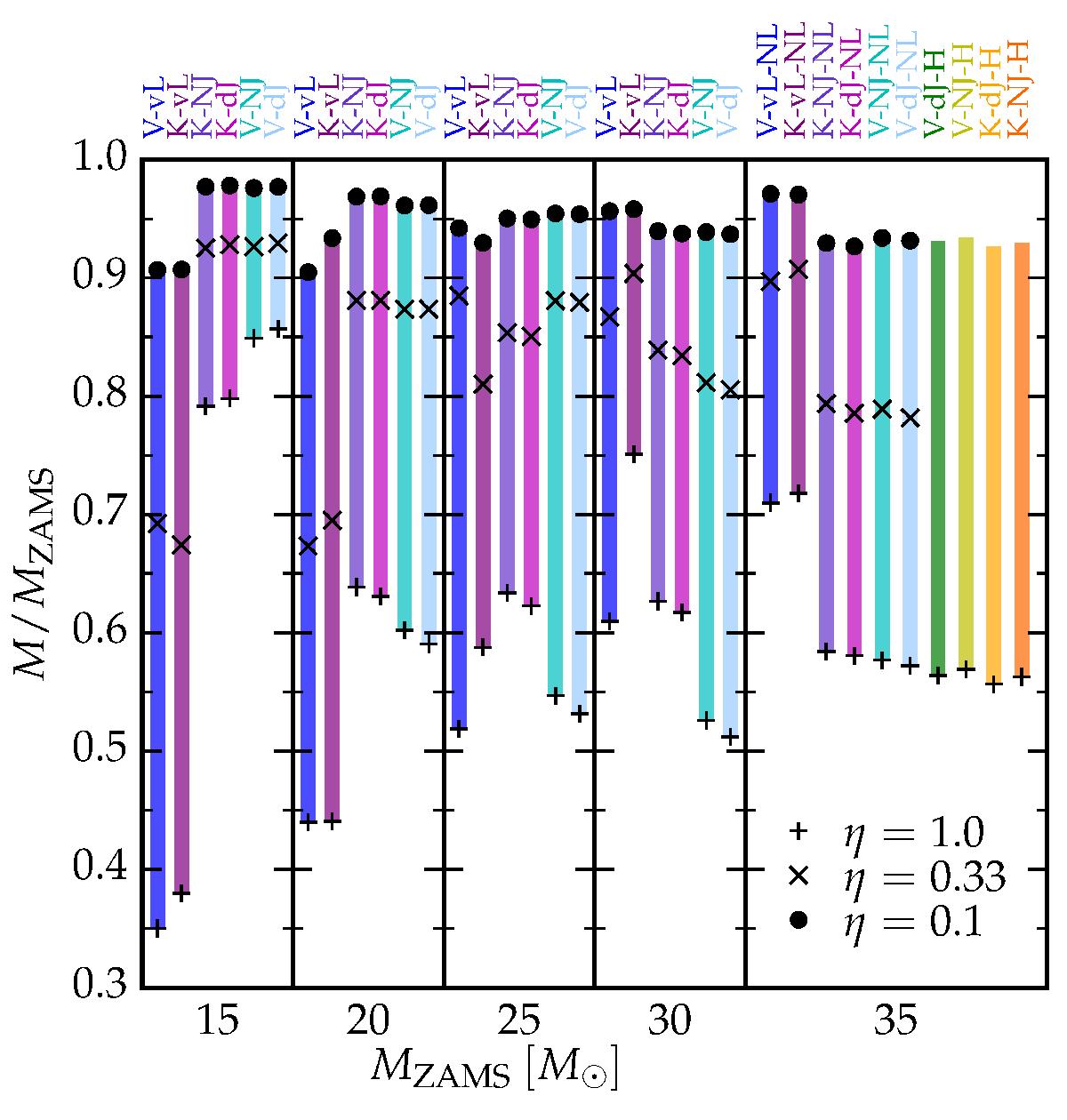
Uncertainty in the mapping between MZAMS and the relative final mass M/MZAMS due to wind mass loss. Each colored bar corresponds to a specific wind algorithm combination defined in Table 2. The pluses, crosses, and circles correspond to η = 1.0, 0.33, 0.1, respectively. We employ the vertical bars to emphasize the spread. The uncertainty in wind mass loss limits the predictive power of stellar evolution studies for the final mass of stars of given initial mass. Only models with MZAMS = 35 M and wind efficiency η = 1 reach the WR stage (cf. Table 4 and Sect. 3.4). They are shown in the rightmost panel and we list the WR mass loss algorithm only for them. The maximum relative mass for the four algorithm combinations using the H WR mass loss algorithm in the rightmost panel are the results obtained using the corresponding hot and cool mass loss combination with η = 0.1 (not reaching the WR phase).

Current usage metrics show cumulative count of Article Views (full-text article views including HTML views, PDF and ePub downloads, according to the available data) and Abstracts Views on Vision4Press platform.

Data correspond to usage on the plateform after 2015. The current usage metrics is available 48-96 hours after online publication and is updated daily on week days.

Initial download of the metrics may take a while.