Free Access

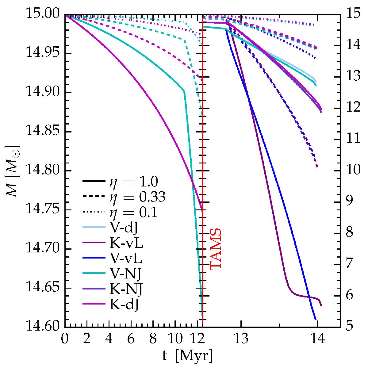
Fig. 2

image

Total stellar mass as a function of time for the 15 M models. Each color corresponds to a given combination of wind algorithms (see Table 2). None of these 15 M models reach the WR phase. The solid, dashed, and dot-dashed curves correspond to efficiency η = 0.1, 0.33, 1.0, respectively, regardless of color. The red vertical line indicates roughly the terminal age main sequence (TAMS, i.e., Xc< 0.01). The enhanced mass loss of models using the Vink et al. (2000; 2001; V) algorithm close to TAMS in the left panel is due to the bistability jump, see Sect. 3.2. The left panel has a different vertical scale to magnify the differences in the tracks during the main sequence evolution.

Current usage metrics show cumulative count of Article Views (full-text article views including HTML views, PDF and ePub downloads, according to the available data) and Abstracts Views on Vision4Press platform.

Data correspond to usage on the plateform after 2015. The current usage metrics is available 48-96 hours after online publication and is updated daily on week days.

Initial download of the metrics may take a while.