Free Access

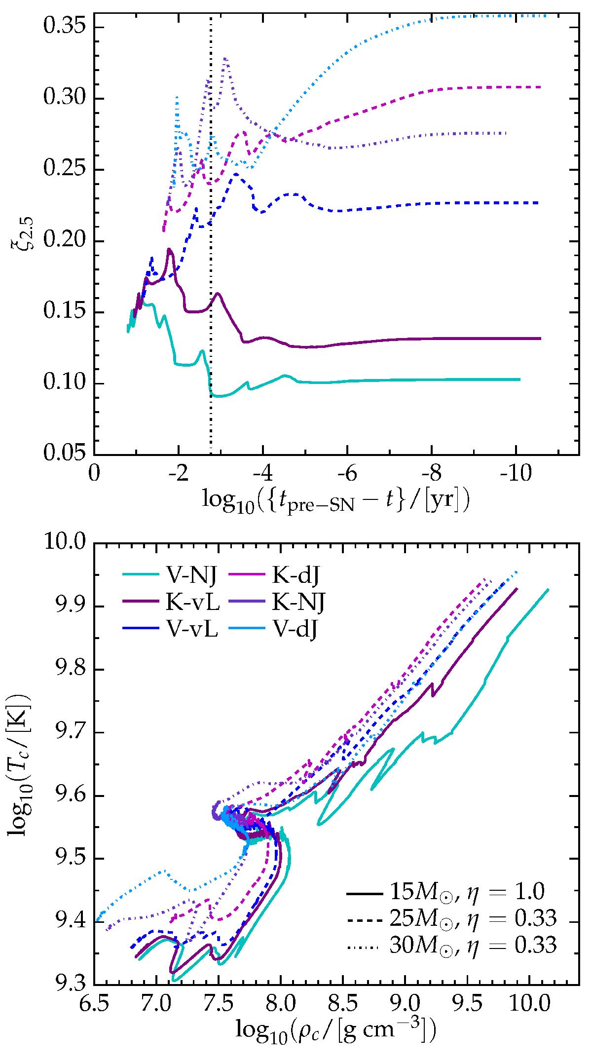
Fig. 6

image

Time evolution of the compactness parameter ξ2.5 (top panel) and evolution in ρcTc space (bottom panel) from oxygen depletion to the onset of core collapse. Solid curves correspond to 15 M models computed with η = 1.0, dashed and dot-dashed curves correspond to 25 M and 30 M models, respectively, computed with η = 0.33. The vertical dot-dashed line in the top panel indicates roughly the time of core silicon depletion (X(28Si) ≤ 0.01).

Current usage metrics show cumulative count of Article Views (full-text article views including HTML views, PDF and ePub downloads, according to the available data) and Abstracts Views on Vision4Press platform.

Data correspond to usage on the plateform after 2015. The current usage metrics is available 48-96 hours after online publication and is updated daily on week days.

Initial download of the metrics may take a while.