Free Access

Fig. 1

image

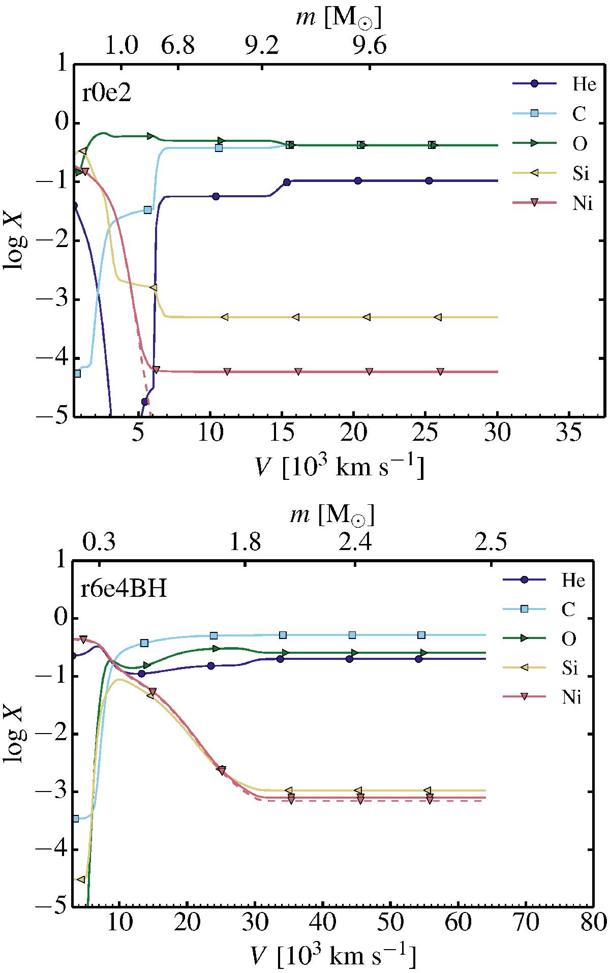
Ejecta composition at the start of the cmfgen simulations for models r0e2 (top; Me = 9.69M; post-explosion time of ~1.1 d) and r6e4BH (bottom; Me = 2.55M; post-explosion time of ~4.6 d). The dashed line corresponds to the 56Ni mass fraction at the given time. The top axis gives the Lagrangian mass coordinate in the ejecta (zero corresponds to the base of the ejecta). In model r6e4BH, most of the O-rich shell has been accreted into the 4 M BH. In particular, the outer layers where He is present now overlap with the 56Ni-rich regions.

This figure is made of several images, please see below:

Current usage metrics show cumulative count of Article Views (full-text article views including HTML views, PDF and ePub downloads, according to the available data) and Abstracts Views on Vision4Press platform.

Data correspond to usage on the plateform after 2015. The current usage metrics is available 48-96 hours after online publication and is updated daily on week days.

Initial download of the metrics may take a while.