Free Access

Fig. 4

image

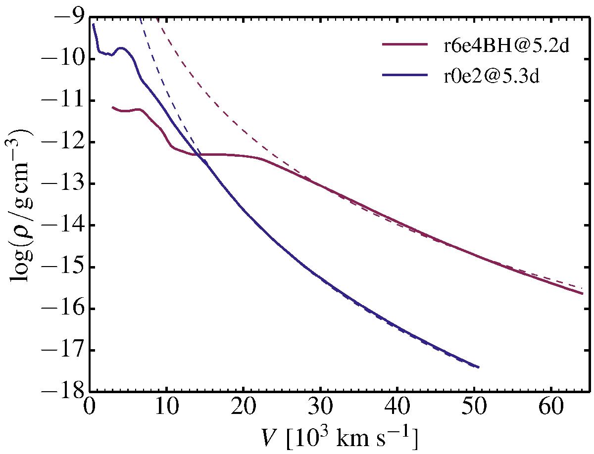
Comparison of the density vs. velocity for models r6e4BH and r0e2 at ~5 d after explosion. The dashed lines represent fits to the density distribution using the expression log ρ(V) = log ρ(V = V0) + Nρlog (V0/V), where V0 = 30 000 km s-1 and Nρ = 7.5 for model r6e4BH and V0 = 20 000 km s-1 and Nρ = 9.5 for model r0e2. The greater the energy of the explosion, the more material is present at large velocity. In spherical symmetry, radiation hydrodynamics cannot produce high density regions at both low and high velocity. However, by adopting an axisymmetric configuration it is possible, for example to have dense material at high velocities in the polar direction, and at low velocity in the equatorial regions.

Current usage metrics show cumulative count of Article Views (full-text article views including HTML views, PDF and ePub downloads, according to the available data) and Abstracts Views on Vision4Press platform.

Data correspond to usage on the plateform after 2015. The current usage metrics is available 48-96 hours after online publication and is updated daily on week days.

Initial download of the metrics may take a while.