Free Access

Fig. 2

image

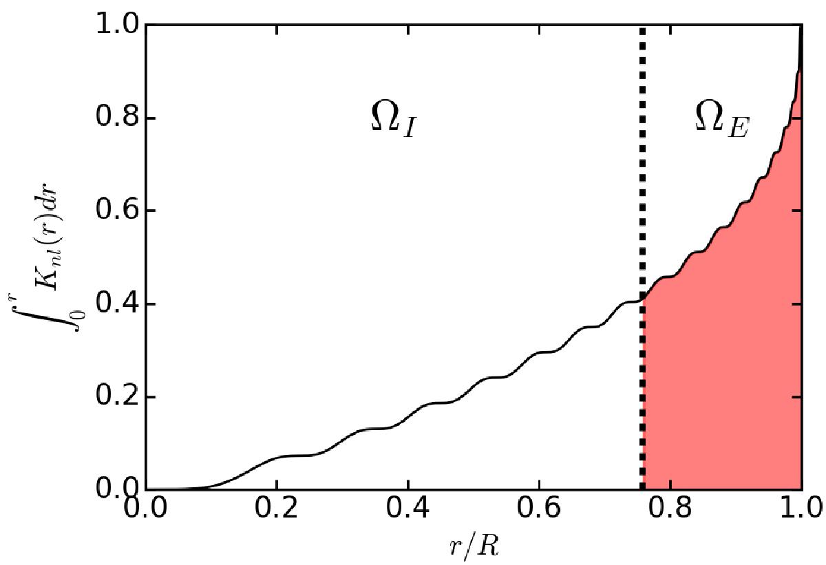
Cumulative integral of the radial component of the rotation sensitivity kernel of the n = 17,l = 1 mode in KIC 006116048. The shaded area denotes the part of the integral which is sensitive to the envelope rotation ΩE, while the unshaded part is sensitive to the interior rotation ΩI. The dashed line denotes the radius of the base of the convection zone rcz which separates the two parts of the star.

Current usage metrics show cumulative count of Article Views (full-text article views including HTML views, PDF and ePub downloads, according to the available data) and Abstracts Views on Vision4Press platform.

Data correspond to usage on the plateform after 2015. The current usage metrics is available 48-96 hours after online publication and is updated daily on week days.

Initial download of the metrics may take a while.