Free Access

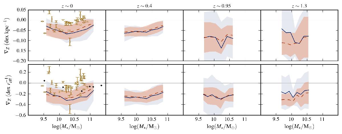
Fig. 2

image

Metallicity gradients as a function of stellar mass for the analysed disc galaxies at z ~ 0 (upper panels). The normalised gradients are displayed in the lower panels. Observational results for the metallicity gradients of the stellar discs in the CALIFA survey by Sánchez-Blázquez et al. (2014; black diamonds) and González Delgado et al. (2015; yellow crosses, lower panel) are also displayed at z ~ 0 for comparison. Mean estimations and their standard dispersion in both radial intervals: [ 0.5,1.5 ] reff (blue shades and lines) and [ 0.5,1.0 ] reff (pink shades and lines) are included for comparison.

Current usage metrics show cumulative count of Article Views (full-text article views including HTML views, PDF and ePub downloads, according to the available data) and Abstracts Views on Vision4Press platform.

Data correspond to usage on the plateform after 2015. The current usage metrics is available 48-96 hours after online publication and is updated daily on week days.

Initial download of the metrics may take a while.