Free Access

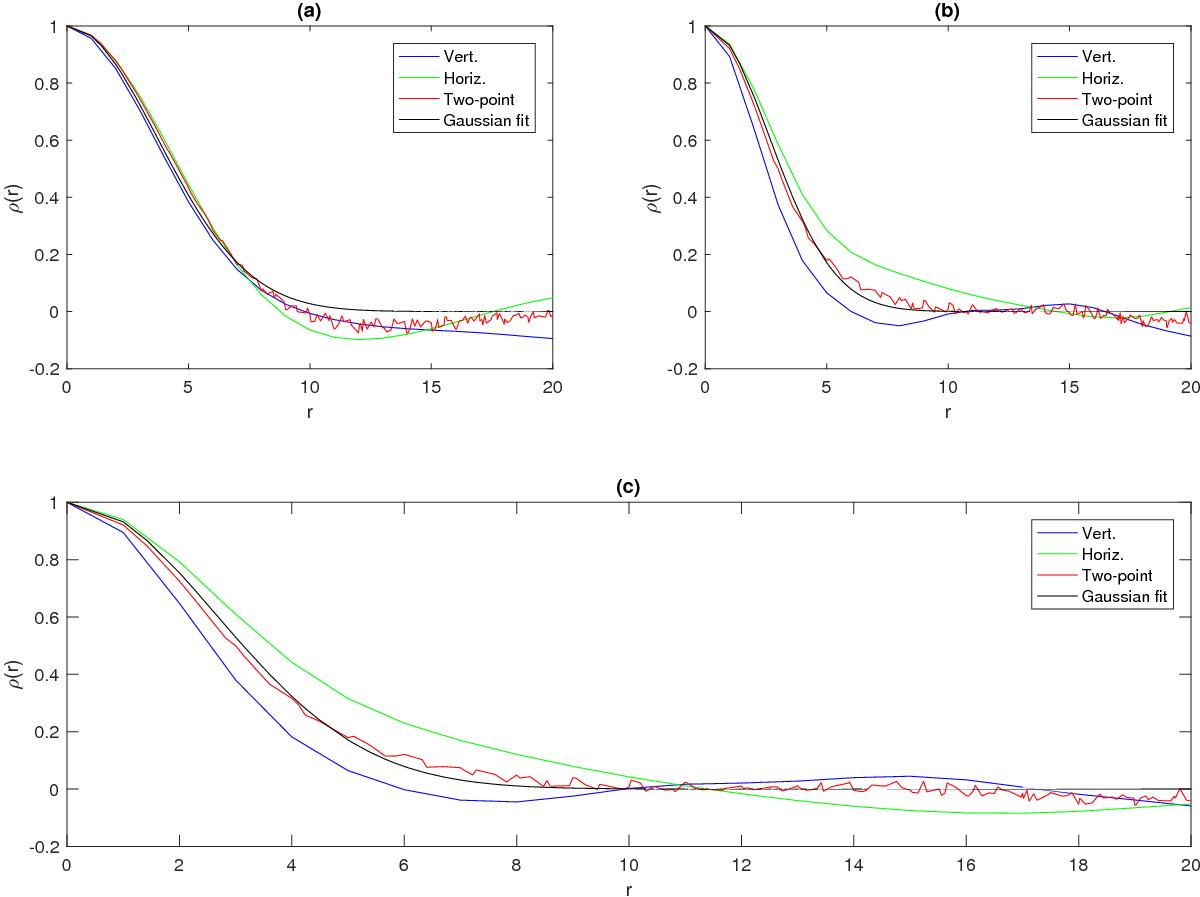
Fig. 12

image

a) Autocorrelation function along the vertical and horizontal directions, two-point correlation function, and the corresponding least-squares fit with a Gaussian function of the map M1 are shown. The inter-pixel distance r is in pixels units; b)c) the same for the maps M2 and M3.

Current usage metrics show cumulative count of Article Views (full-text article views including HTML views, PDF and ePub downloads, according to the available data) and Abstracts Views on Vision4Press platform.

Data correspond to usage on the plateform after 2015. The current usage metrics is available 48-96 hours after online publication and is updated daily on week days.

Initial download of the metrics may take a while.