Free Access
    
Fig. B.1
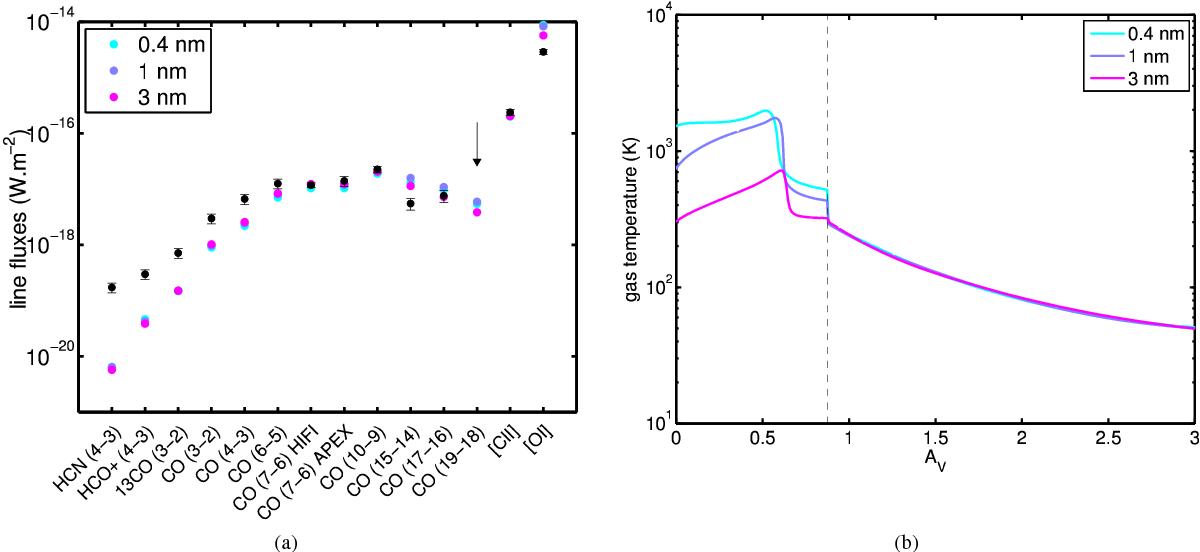
      Variations of the modelled line fluxes (a) and temperature profile (b) for various minimal grain size in the PDR model given in the legend. Here, densities are fixed to nenv = 1 × 104 cm-3, ndisk = 1 × 106 cm-3, the FUV field is G0 = 2 × 104 and a gas-to-dust mass ratio of 100 is used.
This figure is made of several images, please see below:
    
    
  
Current usage metrics show cumulative count of Article Views (full-text article views including HTML views, PDF and ePub downloads, according to the available data) and Abstracts Views on Vision4Press platform.
Data correspond to usage on the plateform after 2015. The current usage metrics is available 48-96 hours after online publication and is updated daily on week days.
Initial download of the metrics may take a while.