Free Access

Fig. 1

image

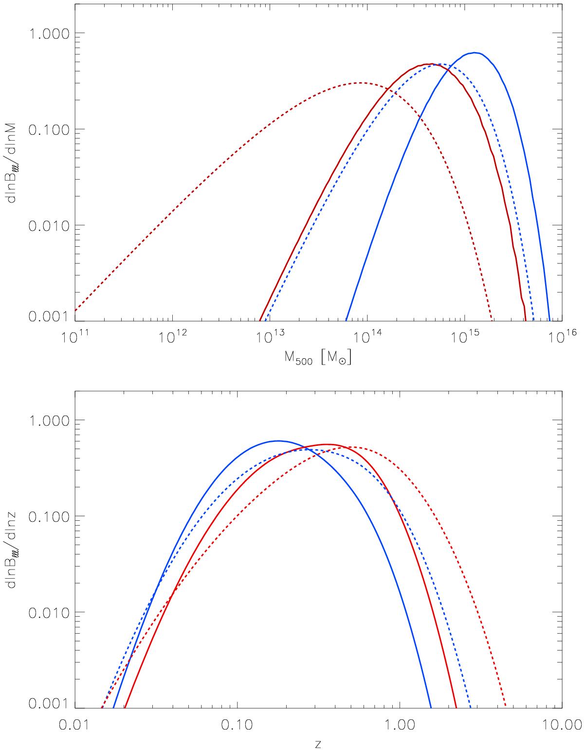
Power density as a function of M500 (top panel) and redshift (bottom panel) for the tSZ power spectrum (dotted blue line), the tSZ bispectrum (solid blue line), the kSZ power spectrum (dotted red line), and the tSZ-kSZ-kSZ bispectrum (solid red line).

Current usage metrics show cumulative count of Article Views (full-text article views including HTML views, PDF and ePub downloads, according to the available data) and Abstracts Views on Vision4Press platform.

Data correspond to usage on the plateform after 2015. The current usage metrics is available 48-96 hours after online publication and is updated daily on week days.

Initial download of the metrics may take a while.