Free Access

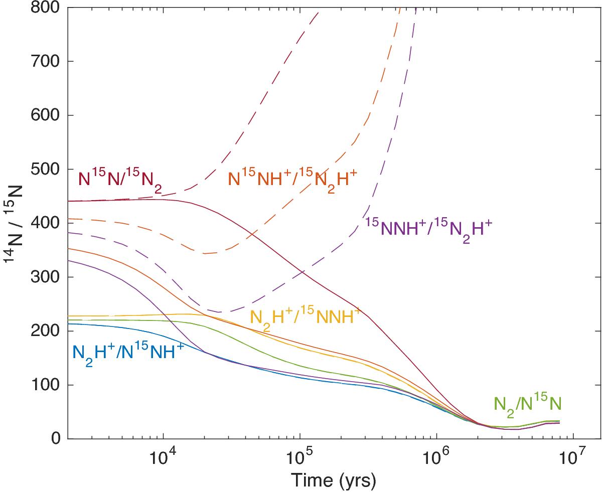
Fig. 3

image

Nitrogen isotopologue ratios (as labeled) in the doubly substituted species, as well as the singly substituted diazenylium and molecular nitrogen, as predicted when including the fractionating reactions of Table 3 (solid) and not including them (dashed). The red graphs represent 15NN/15N2, the orange N15NH+/15N2H+, the purple 15NNH+/15N2H+, the yellow N2H+/15NNH+, the blue N2H+/N15NH+, and the green N2/N15N.

Current usage metrics show cumulative count of Article Views (full-text article views including HTML views, PDF and ePub downloads, according to the available data) and Abstracts Views on Vision4Press platform.

Data correspond to usage on the plateform after 2015. The current usage metrics is available 48-96 hours after online publication and is updated daily on week days.

Initial download of the metrics may take a while.