Free Access

Fig. 15

image

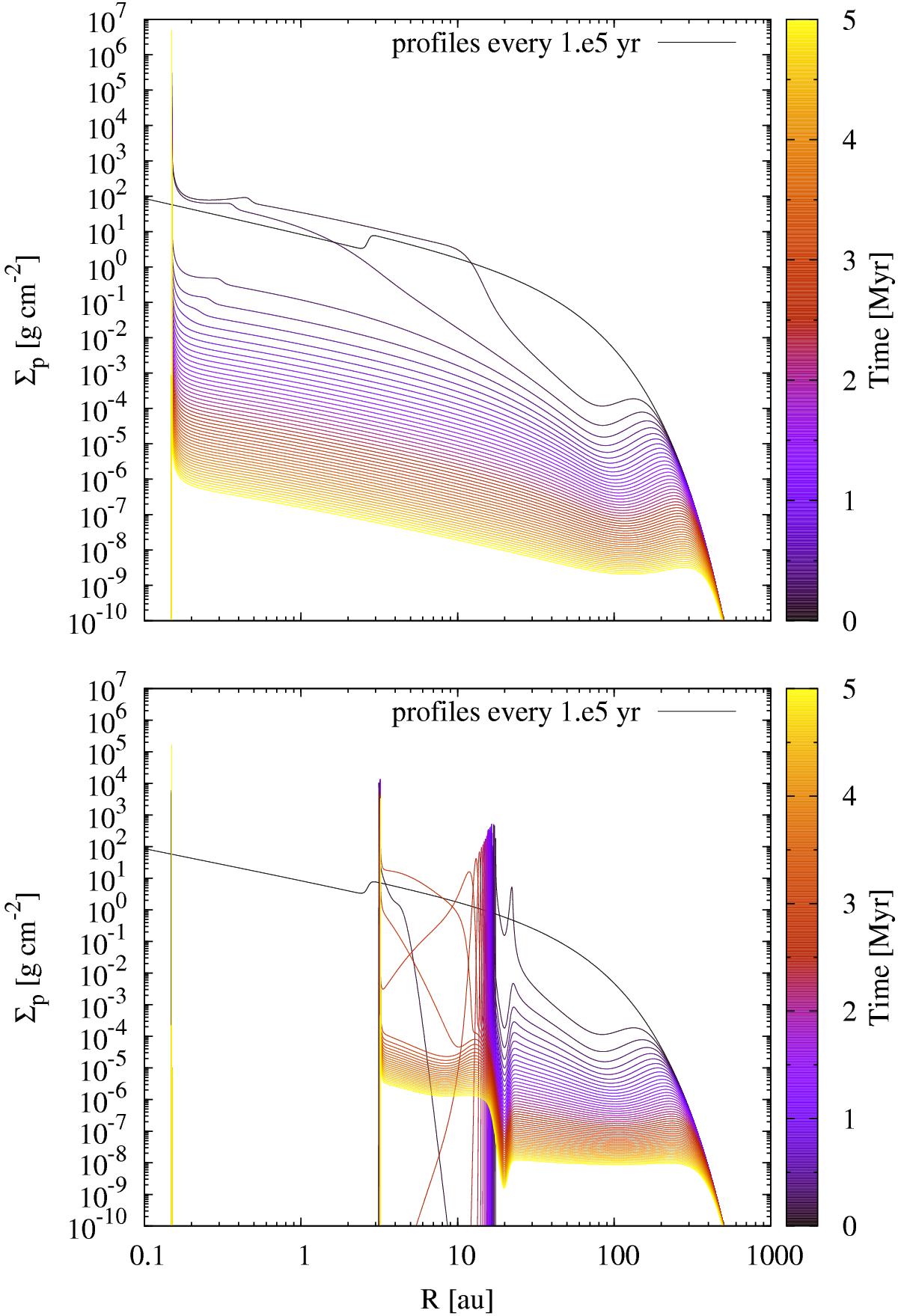
Time evolution of the pebble surface density radial profiles. The top panel corresponds to a disk without a dead zone while the bottom panel corresponds to the case of a disk with a dead zone. Simulations correspond to a low-mass flat disk of Md = 0.03 M and using Rin - dz = 2.7 au, Rout - dz = 20 au, αback = 10-3, and αdz = 10-5, when the dead zone is considered.

This figure is made of several images, please see below:

Current usage metrics show cumulative count of Article Views (full-text article views including HTML views, PDF and ePub downloads, according to the available data) and Abstracts Views on Vision4Press platform.

Data correspond to usage on the plateform after 2015. The current usage metrics is available 48-96 hours after online publication and is updated daily on week days.

Initial download of the metrics may take a while.