Free Access

Fig. 17

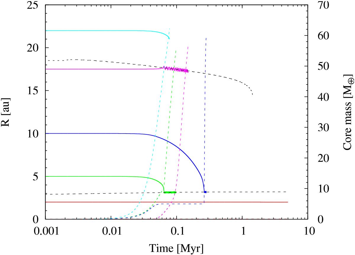
image

Time evolution of the planet’s semi-major axis (solid lines) and planet’s core mass (dashed lines) for different initial locations. Black dashed line represents the zero torque location. Simulations correspond to a low-mass flat disk of Md = 0.03 M with a dead zone using Rin - dz = 2.7 au, Rout - dz = 20 au, αback = 10-3, and αdz = 10-5. Simulations stop after 5 Myr or when the planet reaches the cross-over mass.

Current usage metrics show cumulative count of Article Views (full-text article views including HTML views, PDF and ePub downloads, according to the available data) and Abstracts Views on Vision4Press platform.

Data correspond to usage on the plateform after 2015. The current usage metrics is available 48-96 hours after online publication and is updated daily on week days.

Initial download of the metrics may take a while.