Free Access

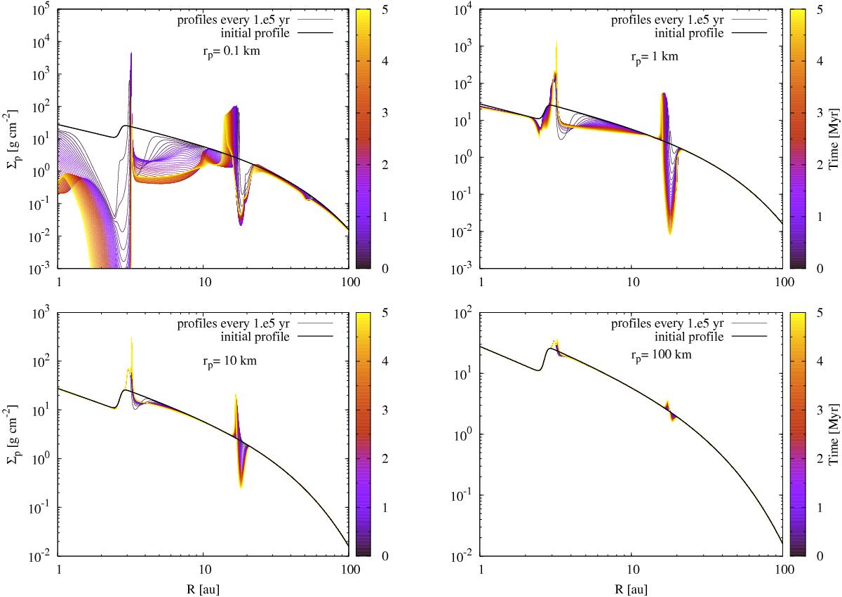
Fig. 7

image

Time evolution of the planetesimal surface density radial profiles for planetesimal populations of different radii. Simulations correspond to a flat disk of Md = 0.1 M, using Rin - dz = 2.7 au, Rout - dz = 20 au, αback = 10-3, and αdz = 10-5. Simulations are stopped after 5 Myr of viscous evolution.

This figure is made of several images, please see below:

Current usage metrics show cumulative count of Article Views (full-text article views including HTML views, PDF and ePub downloads, according to the available data) and Abstracts Views on Vision4Press platform.

Data correspond to usage on the plateform after 2015. The current usage metrics is available 48-96 hours after online publication and is updated daily on week days.

Initial download of the metrics may take a while.