Free Access

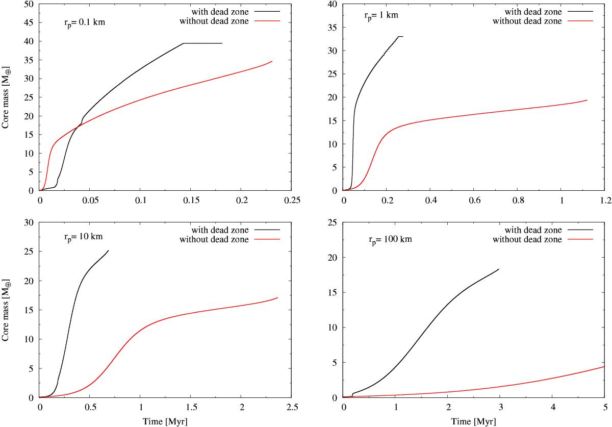
Fig. 9

image

Time evolution of the core’s mass in the in situ formation of a planet located at ~ 3.2 au for different planetesimal sizes. Simulations correspond to a flat disk of Md = 0.1 M considering a disk with (black lines) and without a dead zone (red lines). When a dead zone is considered we use αback = 10-3, αdz = 10-5, Rin - dz = 2.7 au and Rout - dz = 20 au, while if the dead zone is not taken account we use α = 10-3 along the disk. Simulations end when the planet achieves the critical mass or after 5 Myr of viscous disk evolution.

This figure is made of several images, please see below:

Current usage metrics show cumulative count of Article Views (full-text article views including HTML views, PDF and ePub downloads, according to the available data) and Abstracts Views on Vision4Press platform.

Data correspond to usage on the plateform after 2015. The current usage metrics is available 48-96 hours after online publication and is updated daily on week days.

Initial download of the metrics may take a while.