Free Access

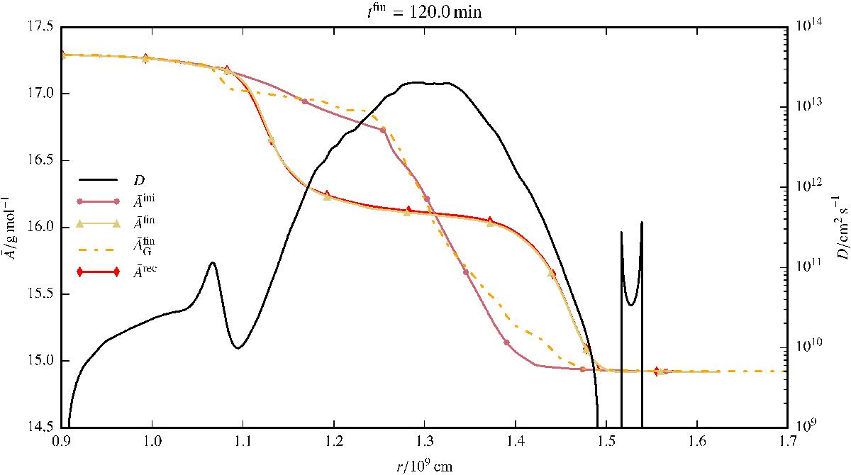
Fig. 13

image

Reconstructed diffusion coefficient from initial and final profiles of mean atomic mass. The initial profile of , the final profile of the hydro simulation , and the corresponding final profile from GENEC are shown. The final state is taken at t = 120 min. The solid black lines shows the effective diffusion coefficient D from the hydro simulation. Negative values due to locally antidiffusive behavior are set to 0. The result of D being applied to the initial profile is shown as .

Current usage metrics show cumulative count of Article Views (full-text article views including HTML views, PDF and ePub downloads, according to the available data) and Abstracts Views on Vision4Press platform.

Data correspond to usage on the plateform after 2015. The current usage metrics is available 48-96 hours after online publication and is updated daily on week days.

Initial download of the metrics may take a while.