Free Access

Fig. 3

image

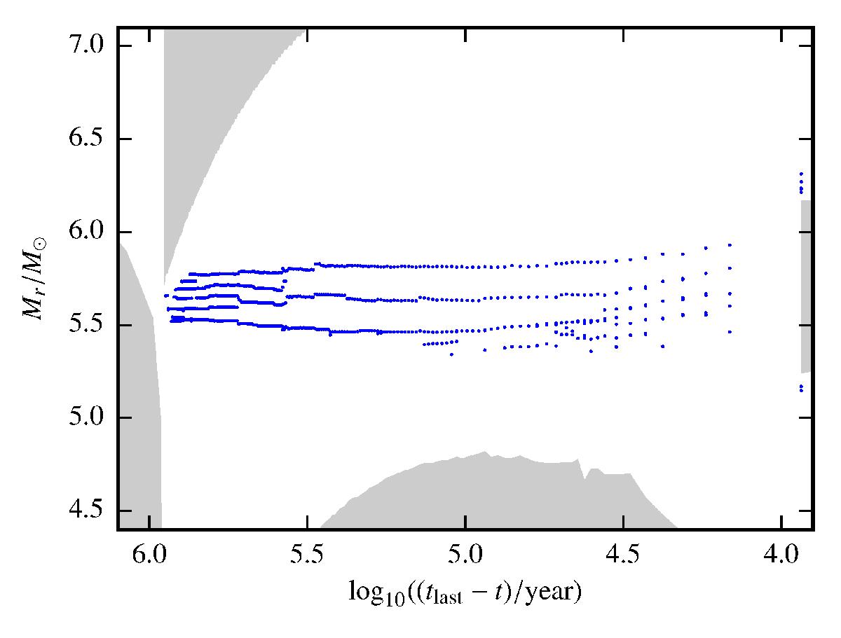
Same as Fig. 2 but zoomed in on unstable region at the edge of what was the hydrogen-burning convective core before the beginning of helium burning. The blue dots indicate zones which are unstable to dynamical shear. Each dot indicates an extended shear unstable zone, which is surrounded by shear stable layers. The gray areas are convective regions.

Current usage metrics show cumulative count of Article Views (full-text article views including HTML views, PDF and ePub downloads, according to the available data) and Abstracts Views on Vision4Press platform.

Data correspond to usage on the plateform after 2015. The current usage metrics is available 48-96 hours after online publication and is updated daily on week days.

Initial download of the metrics may take a while.