Free Access

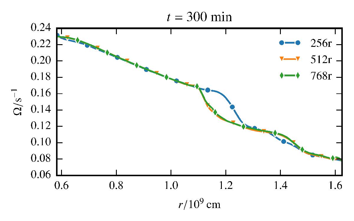
Fig. 7

image

Angular average of angular velocity at t = 300 min after the shear mixing has stopped. The lines show the profile for simulations with 256, 512, and 768 radial zones. Each have the corresponding number of angular zones to keep the aspect ratio constant.

Current usage metrics show cumulative count of Article Views (full-text article views including HTML views, PDF and ePub downloads, according to the available data) and Abstracts Views on Vision4Press platform.

Data correspond to usage on the plateform after 2015. The current usage metrics is available 48-96 hours after online publication and is updated daily on week days.

Initial download of the metrics may take a while.