Free Access

Fig. 3

image

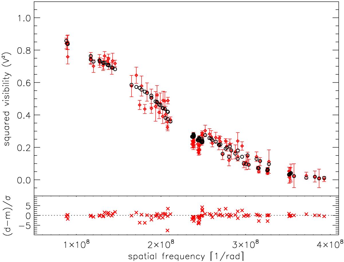
Calibrated VEGA/CHARA squared visibilities are plotted as a function of the spatial frequency (red points). The open black circles are the synthetic visibilities obtained from the FFT of the image of δ Per obtained with the CHARRON code. The bottom panel shows the residuals of the visibilities.

Current usage metrics show cumulative count of Article Views (full-text article views including HTML views, PDF and ePub downloads, according to the available data) and Abstracts Views on Vision4Press platform.

Data correspond to usage on the plateform after 2015. The current usage metrics is available 48-96 hours after online publication and is updated daily on week days.

Initial download of the metrics may take a while.