Free Access

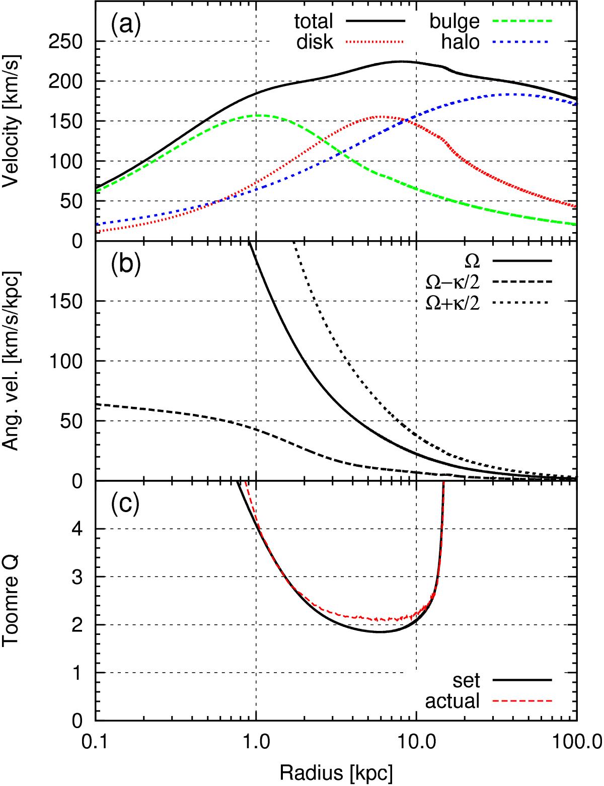
Fig. 1

image

Initial profiles for the basic model: a) the total circular velocity and its components due to disc, bulge, and halo; b) angular velocity Ω(R) and curves Ω(R) ± κ(R) / 2; c) Toomre Q initially set by GalactICS and the one actually obtained in the simulations.

Current usage metrics show cumulative count of Article Views (full-text article views including HTML views, PDF and ePub downloads, according to the available data) and Abstracts Views on Vision4Press platform.

Data correspond to usage on the plateform after 2015. The current usage metrics is available 48-96 hours after online publication and is updated daily on week days.

Initial download of the metrics may take a while.