Free Access

Fig. 5

image

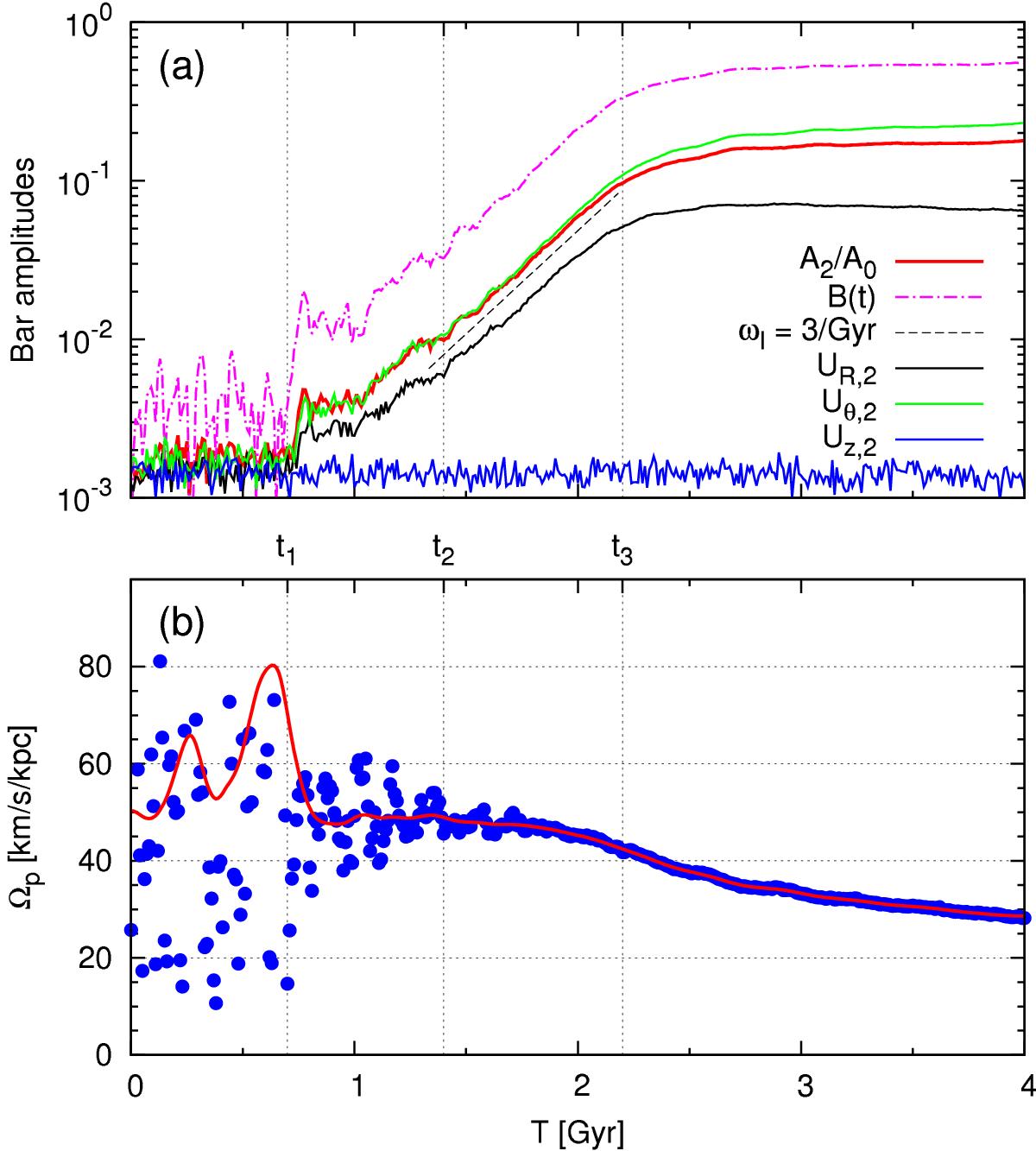
Bar formation in the isolated model. a) Bar amplitudes A2/A0 and URθ,2, and the bar strength B(t) demonstrate lags, jumps, and exponential growths with a rate ωI ≈ 3 Gyr-1 (the slope is shown by the black dashed curve). b) The pattern speed of the bar Ωp determined as an average centred finite difference of the bar phase (dots), and the spline smoothed Ωp (red curve).

This figure is made of several images, please see below:

Current usage metrics show cumulative count of Article Views (full-text article views including HTML views, PDF and ePub downloads, according to the available data) and Abstracts Views on Vision4Press platform.

Data correspond to usage on the plateform after 2015. The current usage metrics is available 48-96 hours after online publication and is updated daily on week days.

Initial download of the metrics may take a while.