Free Access

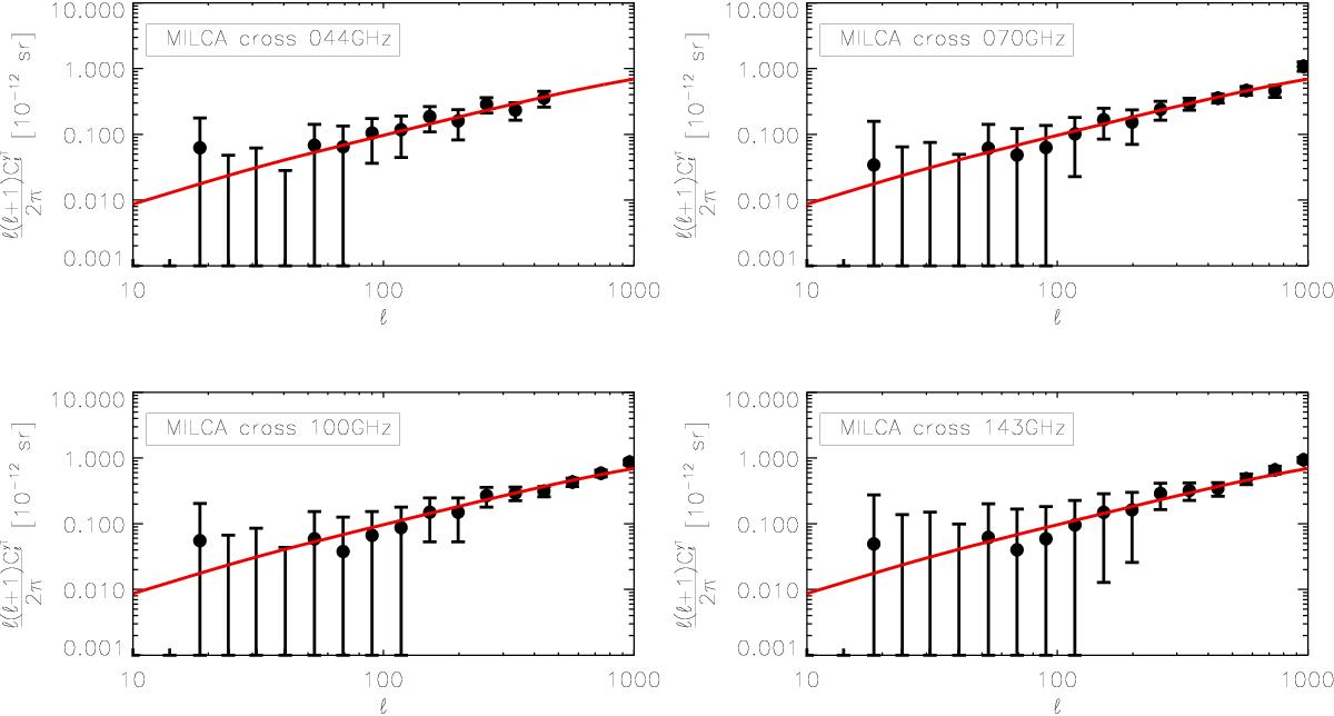
Fig. 3

image

tSZ power spectra reconstructed by cross-correlating Planck intensity map and MILCA y-map (black sample). From left to right and top to bottom: at 44, 70, 100, and 143 GHz. The best fitting model is presented by the solid red lines. We display the spectra in Compton parameter units, , for ease of comparison between cross-spectra.

Current usage metrics show cumulative count of Article Views (full-text article views including HTML views, PDF and ePub downloads, according to the available data) and Abstracts Views on Vision4Press platform.

Data correspond to usage on the plateform after 2015. The current usage metrics is available 48-96 hours after online publication and is updated daily on week days.

Initial download of the metrics may take a while.