Free Access

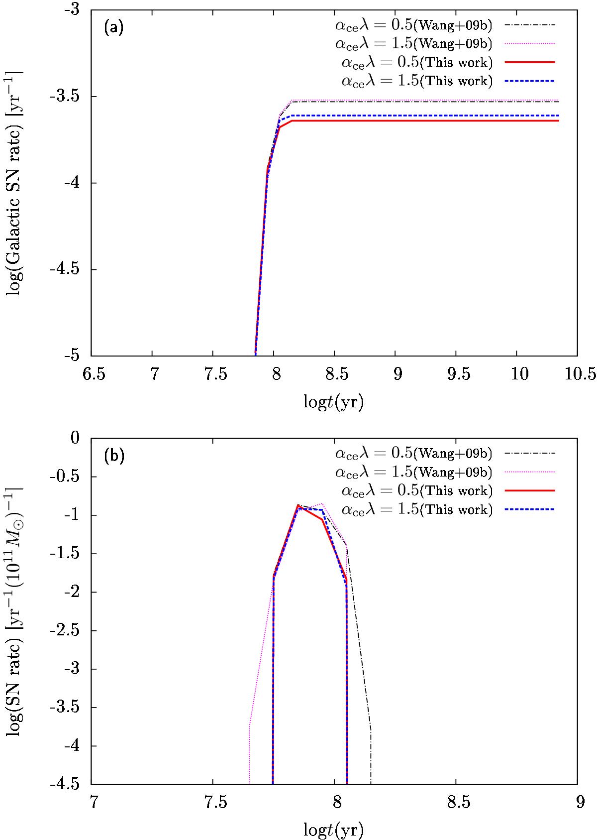
Fig. 10

image

Panel a): evolution of Galactic birthrates of SNe Ia for a constant star formation rate (SFR = 5 M yr-1). The red and blue lines are results from our work, whereas the black and pink lines are taken from Wang et al. (2009b). Panel b): same as panel a), but for a single starburst with a total mass of 1011M.

Current usage metrics show cumulative count of Article Views (full-text article views including HTML views, PDF and ePub downloads, according to the available data) and Abstracts Views on Vision4Press platform.

Data correspond to usage on the plateform after 2015. The current usage metrics is available 48-96 hours after online publication and is updated daily on week days.

Initial download of the metrics may take a while.