Free Access

This article has an erratum: [https://doi.org/10.1051/0004-6361/201630102e]


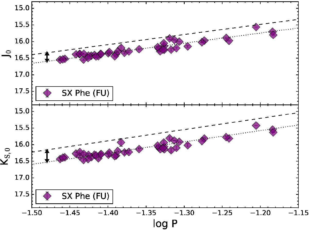
Fig. 7

image

Fundamental-mode SX Phe candidates from which observational J0 and KS,0 PL relations were derived. The dotted lines correspond to the best least-squares fit associated to each filter. The dashed lines correspond to the expected position of the first-overtone pulsators, assuming that fundamental and first-overtone PL relations are parallel.

Current usage metrics show cumulative count of Article Views (full-text article views including HTML views, PDF and ePub downloads, according to the available data) and Abstracts Views on Vision4Press platform.

Data correspond to usage on the plateform after 2015. The current usage metrics is available 48-96 hours after online publication and is updated daily on week days.

Initial download of the metrics may take a while.