Free Access

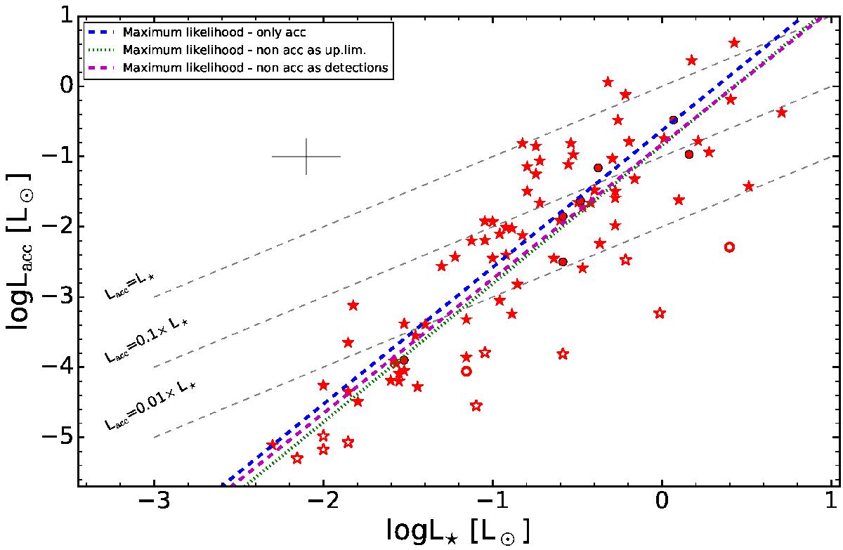
Fig. B.5

image

Accretion vs. stellar luminosity for the objects with a disk in the Chamaeleon I star-forming region. Symbols are the same as in Fig. 3. Lines of equal Lacc/L from 1, to 0.1, to 0.01 are labeled. The results of the fit performed with linmix are shown using different colors depending on how the dubious accretors are treated in the analysis.

Current usage metrics show cumulative count of Article Views (full-text article views including HTML views, PDF and ePub downloads, according to the available data) and Abstracts Views on Vision4Press platform.

Data correspond to usage on the plateform after 2015. The current usage metrics is available 48-96 hours after online publication and is updated daily on week days.

Initial download of the metrics may take a while.