Free Access

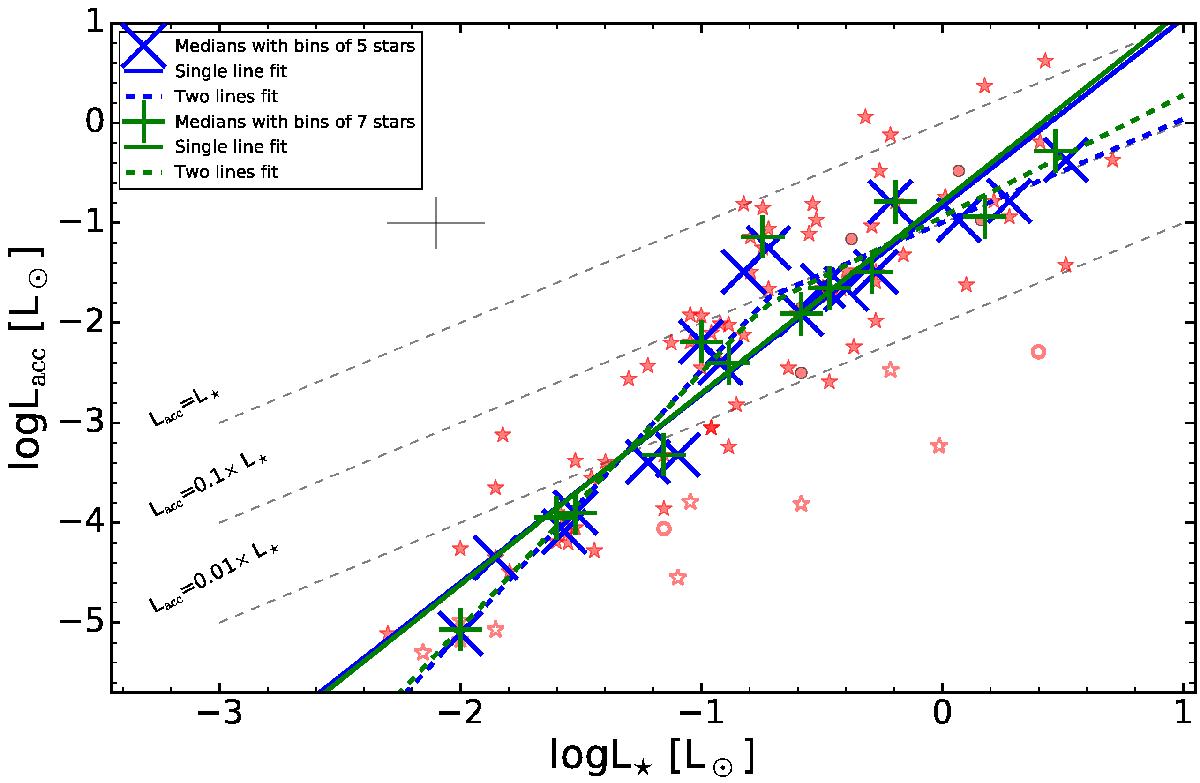
Fig. B.1

image

Accretion luminosity vs. stellar luminosity for the objects with a disk in the Chamaeleon I star-forming region. Symbols are the same as in Fig. 3. The median values in bins with the same number of objects are shown with symbols as reported in the legend. Best fits of these median values are also shown.

Current usage metrics show cumulative count of Article Views (full-text article views including HTML views, PDF and ePub downloads, according to the available data) and Abstracts Views on Vision4Press platform.

Data correspond to usage on the plateform after 2015. The current usage metrics is available 48-96 hours after online publication and is updated daily on week days.

Initial download of the metrics may take a while.