Free Access

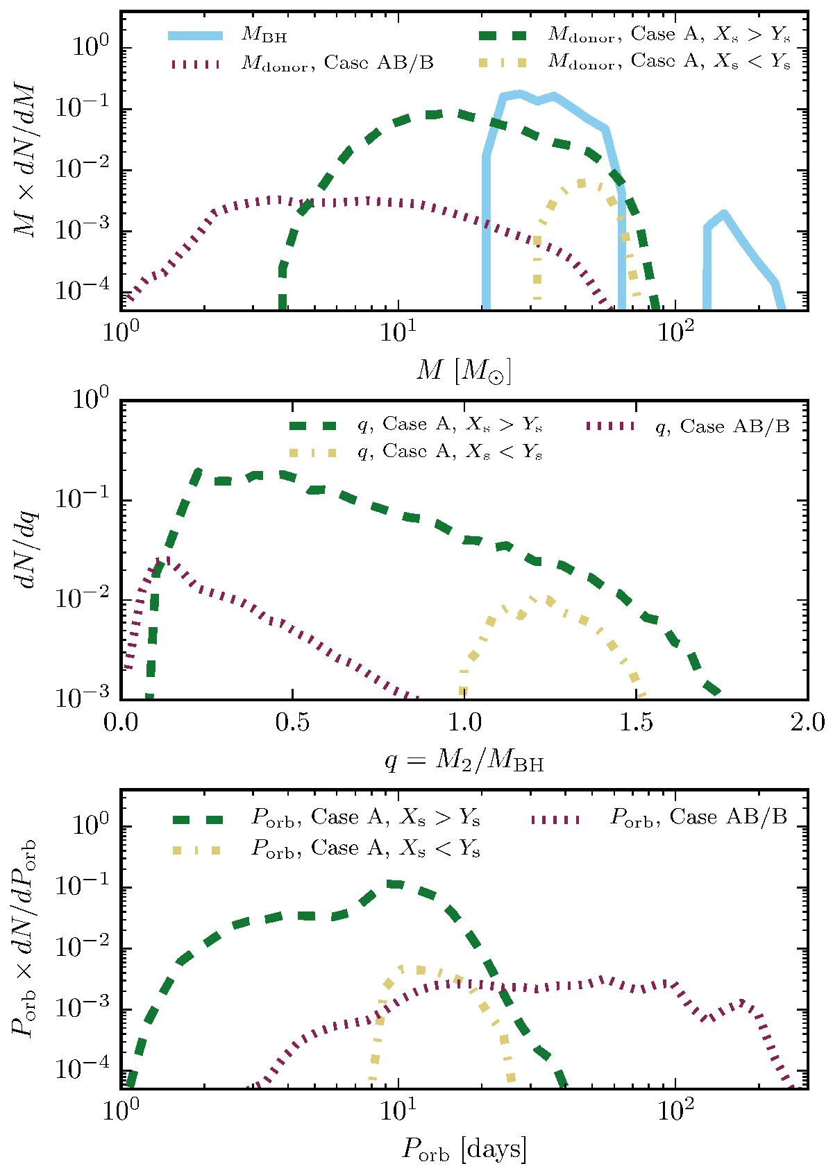
Fig. 12

image

Top: Distribution of BH and donor masses in ULX systems, weighting our models to the metallicity distribution of Langer & Norman (2006) at redshift z = 0. Middle: Distribution of mass ratios using the same metallicity distribution. Bottom: Distribution of orbital periods using the same metallicity distribution. Donor masses and orbital periods are separated between Case A and Case B systems; furthermore, Case A systems are separated between donors that are hydrogen-poor or hydrogen-rich at their surfaces.

Current usage metrics show cumulative count of Article Views (full-text article views including HTML views, PDF and ePub downloads, according to the available data) and Abstracts Views on Vision4Press platform.

Data correspond to usage on the plateform after 2015. The current usage metrics is available 48-96 hours after online publication and is updated daily on week days.

Initial download of the metrics may take a while.